Suppr超能文献

通过W/F延伸对超短抗菌肽进行末端标记以促进细菌杀伤。

End-tagging of ultra-short antimicrobial peptides by W/F stretches to facilitate bacterial killing.

作者信息

Pasupuleti Mukesh, Schmidtchen Artur, Chalupka Anna, Ringstad Lovisa, Malmsten Martin

机构信息

Section of Dermatology and Venereology, Department of Clinical Sciences, Lund University, Lund, Sweden.

出版信息

PLoS One. 2009;4(4):e5285. doi: 10.1371/journal.pone.0005285. Epub 2009 Apr 17.

Abstract

BACKGROUND

Due to increasing resistance development among bacteria, antimicrobial peptides (AMPs), are receiving increased attention. Ideally, AMP should display high bactericidal potency, but low toxicity against (human) eukaryotic cells. Additionally, short and proteolytically stable AMPs are desired to maximize bioavailability and therapeutic versatility.

METHODOLOGY AND PRINCIPAL FINDINGS

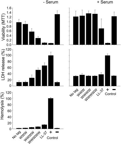
A facile approach is demonstrated for reaching high potency of ultra-short antimicrobal peptides through end-tagging with W and F stretches. Focusing on a peptide derived from kininogen, KNKGKKNGKH (KNK10) and truncations thereof, end-tagging resulted in enhanced bactericidal effect against Gram-negative Escherichia coli and Gram-positive Staphylococcus aureus. Through end-tagging, potency and salt resistance could be maintained down to 4-7 amino acids in the hydrophilic template peptide. Although tagging resulted in increased eukaryotic cell permeabilization at low ionic strength, the latter was insignificant at physiological ionic strength and in the presence of serum. Quantitatively, the most potent peptides investigated displayed bactericidal effects comparable to, or in excess of, that of the benchmark antimicrobial peptide LL-37. The higher bactericidal potency of the tagged peptides correlated to a higher degree of binding to bacteria, and resulting bacterial wall rupture. Analogously, tagging enhanced peptide-induced rupture of liposomes, particularly anionic ones. Additionally, end-tagging facilitated binding to bacterial lipopolysaccharide, both effects probably contributing to the selectivity displayed by these peptides between bacteria and eukaryotic cells. Importantly, W-tagging resulted in peptides with maintained stability against proteolytic degradation by human leukocyte elastase, as well as staphylococcal aureolysin and V8 proteinase. The biological relevance of these findings was demonstrated ex vivo for pig skin infected by S. aureus and E. coli.

CONCLUSIONS/SIGNIFICANCE: End-tagging by hydrophobic amino acid stretches may be employed to enhance bactericidal potency also of ultra-short AMPs at maintained limited toxicity. The approach is of general applicability, and facilitates straightforward synthesis of hydrophobically modified AMPs without the need for post-peptide synthesis modifications.

摘要

背景

由于细菌耐药性不断增强,抗菌肽(AMPs)受到越来越多的关注。理想情况下,抗菌肽应具有高杀菌效力,但对(人类)真核细胞毒性低。此外,希望抗菌肽短且具有蛋白水解稳定性,以最大限度提高生物利用度和治疗通用性。

方法和主要发现

展示了一种简便方法,通过用W和F序列进行末端标记来提高超短抗菌肽的效力。以源自激肽原的肽KNKGKKNGKH(KNK10)及其截短体为研究对象,末端标记增强了对革兰氏阴性大肠杆菌和革兰氏阳性金黄色葡萄球菌的杀菌效果。通过末端标记,在亲水性模板肽中,效力和耐盐性可维持至4 - 7个氨基酸。虽然标记在低离子强度下导致真核细胞通透性增加,但在生理离子强度和血清存在下,这种增加并不显著。定量分析表明,所研究的最有效肽的杀菌效果与基准抗菌肽LL - 37相当或更强。标记肽更高的杀菌效力与更高程度的细菌结合以及由此导致的细菌细胞壁破裂相关。类似地,标记增强了肽诱导的脂质体破裂,特别是阴离子脂质体。此外,末端标记促进了与细菌脂多糖的结合,这两种作用可能共同导致了这些肽在细菌和真核细胞之间表现出的选择性。重要的是,W标记导致的肽对人白细胞弹性蛋白酶、金黄色葡萄球菌溶素和V8蛋白酶的蛋白水解降解具有稳定抗性。这些发现的生物学相关性在感染金黄色葡萄球菌和大肠杆菌的猪皮肤离体实验中得到了证明。

结论/意义:通过疏水氨基酸序列进行末端标记可用于提高超短抗菌肽的杀菌效力,同时保持有限的毒性。该方法具有普遍适用性,便于直接合成疏水修饰的抗菌肽,无需肽合成后修饰。

https://cdn.ncbi.nlm.nih.gov/pmc/blobs/9d52/2667214/1e587e361456/pone.0005285.g001.jpg

文献AI研究员

20分钟写一篇综述,助力文献阅读效率提升50倍。

立即体验

用中文搜PubMed

大模型驱动的PubMed中文搜索引擎

马上搜索

文档翻译

学术文献翻译模型,支持多种主流文档格式。

立即体验