Suppr超能文献

进化上保守的蛋白质 MnmE 和 GidA 催化 tRNA 摆动位置上两个甲基尿嘧啶衍生物的形成。

Evolutionarily conserved proteins MnmE and GidA catalyze the formation of two methyluridine derivatives at tRNA wobble positions.

机构信息

Laboratorio de Genética Molecular, Centro de Investigación Príncipe Felipe, 46012-Valencia, Spain.

出版信息

Nucleic Acids Res. 2009 Nov;37(21):7177-93. doi: 10.1093/nar/gkp762.

Abstract

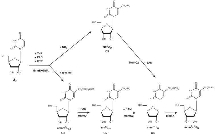
The wobble uridine of certain bacterial and mitochondrial tRNAs is modified, at position 5, through an unknown reaction pathway that utilizes the evolutionarily conserved MnmE and GidA proteins. The resulting modification (a methyluridine derivative) plays a critical role in decoding NNG/A codons and reading frame maintenance during mRNA translation. The lack of this tRNA modification produces a pleiotropic phenotype in bacteria and has been associated with mitochondrial encephalomyopathies in humans. In this work, we use in vitro and in vivo approaches to characterize the enzymatic pathway controlled by the Escherichia coli MnmEGidA complex. Surprisingly, this complex catalyzes two different GTP- and FAD-dependent reactions, which produce 5-aminomethyluridine and 5-carboxymethylamino-methyluridine using ammonium and glycine, respectively, as substrates. In both reactions, methylene-tetrahydrofolate is the most probable source to form the C5-methylene moiety, whereas NADH is dispensable in vitro unless FAD levels are limiting. Our results allow us to reformulate the bacterial MnmEGidA dependent pathway and propose a novel mechanism for the modification reactions performed by the MnmE and GidA family proteins.

摘要

某些细菌和线粒体 tRNA 的摆动尿嘧啶在位置 5 处被修饰,这是一个未知的反应途径,利用了进化上保守的 MnmE 和 GidA 蛋白。这种修饰(一种甲基尿嘧啶衍生物)在解码 NNG/A 密码子和 mRNA 翻译过程中的读框维持中起着关键作用。缺乏这种 tRNA 修饰会导致细菌出现多种表型,并与人类的线粒体脑肌病有关。在这项工作中,我们使用体外和体内方法来表征由大肠杆菌 MnmEGidA 复合物控制的酶促途径。令人惊讶的是,该复合物催化两个不同的 GTP 和 FAD 依赖性反应,分别使用铵和甘氨酸作为底物产生 5-氨基甲基尿嘧啶和 5-羧甲基氨基甲基尿嘧啶。在这两种反应中,亚甲基四氢叶酸是形成 C5-亚甲基部分的最可能来源,而体外 NADH 是可有可无的,除非 FAD 水平有限。我们的结果允许我们重新制定细菌 MnmEGidA 依赖性途径,并提出一个新的机制,用于 MnmE 和 GidA 家族蛋白进行的修饰反应。

https://cdn.ncbi.nlm.nih.gov/pmc/blobs/2745/2790889/03c1c071c5ad/gkp762f1.jpg

文献AI研究员

20分钟写一篇综述,助力文献阅读效率提升50倍。

立即体验

用中文搜PubMed

大模型驱动的PubMed中文搜索引擎

马上搜索

文档翻译

学术文献翻译模型,支持多种主流文档格式。

立即体验