Suppr超能文献

血浆循环游离核和线粒体 DNA 水平作为乳腺癌潜在的生物标志物。

Levels of plasma circulating cell free nuclear and mitochondrial DNA as potential biomarkers for breast tumors.

机构信息

Laboratory for Prenatal Medicine and Gynecologic Oncology, Women's Hospital/Department of Biomedicine, University of Basel, Switzerland.

出版信息

Mol Cancer. 2009 Nov 17;8:105. doi: 10.1186/1476-4598-8-105.

Abstract

BACKGROUND

With the aim to simplify cancer management, cancer research lately dedicated itself more and more to discover and develop non-invasive biomarkers. In this connection, circulating cell-free DNA (ccf DNA) seems to be a promising candidate. Altered levels of ccf nuclear DNA (nDNA) and mitochondrial DNA (mtDNA) have been found in several cancer types and might have a diagnostic value.

METHODS

Using multiplex real-time PCR we investigated the levels of ccf nDNA and mtDNA in plasma samples from patients with malignant and benign breast tumors, and from healthy controls. To evaluate the applicability of plasma ccf nDNA and mtDNA as a biomarker for distinguishing between the three study-groups we performed ROC (Receiver Operating Characteristic) curve analysis. We also compared the levels of both species in the cancer group with clinicopathological parameters.

RESULTS

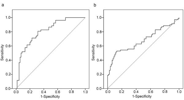
While the levels of ccf nDNA in the cancer group were significantly higher in comparison with the benign tumor group (P < 0.001) and the healthy control group (P < 0.001), the level of ccf mtDNA was found to be significantly lower in the two tumor-groups (benign: P < 0.001; malignant: P = 0.022). The level of ccf nDNA was also associated with tumor-size (<2 cm vs. >2 cm<5 cm; 2250 vs. 6658; Mann-Whitney-U-Test: P = 0.034). Using ROC curve analysis, we were able to distinguish between the breast cancer cases and the healthy controls using ccf nDNA as marker (cut-off: 1866 GE/ml; sensitivity: 81%; specificity: 69%; P < 0.001) and between the tumor group and the healthy controls using ccf mtDNA as marker (cut-off: 463282 GE/ml; sensitivity: 53%; specificity: 87%; P < 0.001).

CONCLUSION

Our data suggests that nuclear and mitochondrial ccf DNA have potential as biomarkers in breast tumor management. However, ccf nDNA shows greater promise regarding sensitivity and specificity.

摘要

背景

为了简化癌症管理,癌症研究最近越来越致力于发现和开发非侵入性生物标志物。在这方面,循环无细胞 DNA(ccf DNA)似乎是一种很有前途的候选物。已经在几种癌症类型中发现了 ccf 核 DNA(nDNA)和线粒体 DNA(mtDNA)水平的改变,并且可能具有诊断价值。

方法

使用多重实时 PCR 我们检测了来自恶性和良性乳腺肿瘤患者以及健康对照者的血浆样本中的 ccf nDNA 和 mtDNA 水平。为了评估血浆 ccf nDNA 和 mtDNA 作为区分三个研究组的生物标志物的适用性,我们进行了 ROC(接收器操作特征)曲线分析。我们还比较了两种物种在癌症组中的水平与临床病理参数的关系。

结果

与良性肿瘤组(P < 0.001)和健康对照组(P < 0.001)相比,癌症组的 ccf nDNA 水平显著升高,而 ccf mtDNA 水平则在两个肿瘤组中显著降低(良性:P < 0.001;恶性:P = 0.022)。ccf nDNA 水平还与肿瘤大小相关(<2 cm 与>2 cm<5 cm;2250 与 6658;Mann-Whitney-U-Test:P = 0.034)。使用 ROC 曲线分析,我们能够使用 ccf nDNA 作为标志物区分乳腺癌病例和健康对照者(临界值:1866 GE/ml;敏感性:81%;特异性:69%;P < 0.001),并使用 ccf mtDNA 作为标志物区分肿瘤组和健康对照者(临界值:463282 GE/ml;敏感性:53%;特异性:87%;P < 0.001)。

结论

我们的数据表明,核和线粒体 ccf DNA 具有作为乳腺肿瘤管理生物标志物的潜力。然而,ccf nDNA 在敏感性和特异性方面显示出更大的潜力。

https://cdn.ncbi.nlm.nih.gov/pmc/blobs/6e6a/2780981/6ef80f3329d6/1476-4598-8-105-1.jpg

文献AI研究员

20分钟写一篇综述,助力文献阅读效率提升50倍。

立即体验

用中文搜PubMed

大模型驱动的PubMed中文搜索引擎

马上搜索

文档翻译

学术文献翻译模型,支持多种主流文档格式。

立即体验