Suppr超能文献

一个短的上游启动子区域调节小鼠双皮质素基因在分化神经元中的转录调控。

A short upstream promoter region mediates transcriptional regulation of the mouse doublecortin gene in differentiating neurons.

机构信息

Laboratory for Animal Physiology, Université de Liège, B-4000 Liège, Sart-Tilman, Belgium.

出版信息

BMC Neurosci. 2010 May 28;11:64. doi: 10.1186/1471-2202-11-64.

Abstract

BACKGROUND

Doublecortin (Dcx), a MAP (Microtubule-Associated Protein), is transiently expressed in migrating and differentiating neurons and thereby characterizes neuronal precursors and neurogenesis in developing and adult neurogenesis. In addition, reduced Dcx expression during development has been related to appearance of brain pathologies. Here, we attempt to unveil the molecular mechanisms controlling Dcx gene expression by studying its transcriptional regulation during neuronal differentiation.

RESULTS

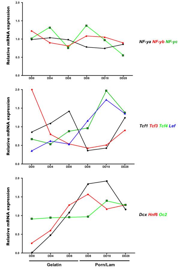
To determine and analyze important regulatory sequences of the Dcx promoter, we studied a putative regulatory region upstream from the mouse Dcx coding region (pdcx2kb) and several deletions thereof. These different fragments were used in vitro and in vivo to drive reporter gene expression. We demonstrated, using transient expression experiments, that pdcx2kb is sufficient to control specific reporter gene expression in cerebellar cells and in the developing brain (E14.5). We determined the temporal profile of Dcx promoter activity during neuronal differentiation of mouse embryonic stem cells (mESC) and found that transcriptional activation of the Dcx gene varies along with neuronal differentiation of mESC. Deletion experiments and sequence comparison of Dcx promoters across rodents, human and chicken revealed the importance of a highly conserved sequence in the proximal region of the promoter required for specific and strong expression in neuronal precursors and young neuronal cells. Further analyses revealed the presence in this short sequence of several conserved, putative transcription factor binding sites: LEF/TCF (Lymphoid Enhancer Factor/T-Cell Factor) which are effectors of the canonical Wnt pathway; HNF6/OC2 (Hepatocyte Nuclear Factor-6/Oncecut-2) members of the ONECUT family and NF-Y/CAAT (Nuclear Factor-Y).

CONCLUSIONS

Studies of Dcx gene regulatory sequences using native, deleted and mutated constructs suggest that fragments located upstream of the Dcx coding sequence are sufficient to induce specific Dcx expression in vitro: in heterogeneous differentiated neurons from mESC, in primary mouse cerebellar neurons (PND3) and in organotypic slice cultures. Furthermore, a region in the 3'-end region of the Dcx promoter is highly conserved across several species and exerts positive control on Dcx transcriptional activation. Together, these results indicate that the proximal 3'-end region of the mouse Dcx regulatory sequence is essential for Dcx gene expression during differentiation of neuronal precursors.

摘要

背景

双皮质素 (Dcx) 是一种微管相关蛋白 (MAP),在迁移和分化的神经元中短暂表达,从而标记发育中和成年神经发生中的神经元前体和神经发生。此外,发育过程中 Dcx 表达的减少与脑病理学的出现有关。在这里,我们试图通过研究其在神经元分化过程中的转录调控来揭示控制 Dcx 基因表达的分子机制。

结果

为了确定和分析 Dcx 启动子的重要调节序列,我们研究了小鼠 Dcx 编码区上游的一个假定调节区 (pdcx2kb) 及其几个缺失片段。这些不同的片段被用于体外和体内来驱动报告基因的表达。我们通过瞬时表达实验证明,pdcx2kb 足以控制小脑细胞和发育中的大脑 (E14.5) 中特定报告基因的表达。我们确定了 Dcx 启动子在小鼠胚胎干细胞 (mESC) 神经元分化过程中的时间表达谱,发现 Dcx 基因的转录激活随着 mESC 的神经元分化而变化。缺失实验和跨啮齿动物、人类和鸡的 Dcx 启动子序列比较表明,启动子近端的一个高度保守序列对于神经元前体和年轻神经元细胞中的特异性和强表达是重要的。进一步的分析表明,在这个短序列中存在几个保守的、假定的转录因子结合位点:淋巴增强因子/T 细胞因子 (LEF/TCF),是经典 Wnt 途径的效应物;肝细胞核因子-6/Oncecut-2 (HNF6/OC2),ONECUT 家族的成员;核因子-Y/CAAT (NF-Y/CAAT)。

结论

使用天然、缺失和突变构建体研究 Dcx 基因调节序列表明,位于 Dcx 编码序列上游的片段足以在体外诱导特异性 Dcx 表达:在 mESC 来源的异质分化神经元中、在原代小鼠小脑神经元 (PND3) 和器官型切片培养物中。此外,Dcx 启动子 3' 端区域的一个区域在多个物种中高度保守,对 Dcx 转录激活施加正调控。总之,这些结果表明,小鼠 Dcx 调节序列的近端 3' 端区域对于神经元前体分化过程中的 Dcx 基因表达是必需的。

https://cdn.ncbi.nlm.nih.gov/pmc/blobs/b736/2891791/f771be6c6752/1471-2202-11-64-1.jpg

文献AI研究员

20分钟写一篇综述,助力文献阅读效率提升50倍。

立即体验

用中文搜PubMed

大模型驱动的PubMed中文搜索引擎

马上搜索

文档翻译

学术文献翻译模型,支持多种主流文档格式。

立即体验