Suppr超能文献

以核心基因集为基础的放线菌亚科级的多位点序列分析。

Core gene set as the basis of multilocus sequence analysis of the subclass Actinobacteridae.

机构信息

Mycobacteriology Laboratory Branch, Division of Tuberculosis Elimination, National Center for HIV/AIDS, Viral Hepatitis, STD, and TB Prevention, Centers for Disease Control and Prevention, Atlanta, Georgia, United States of America.

出版信息

PLoS One. 2011 Mar 31;6(3):e14792. doi: 10.1371/journal.pone.0014792.

Abstract

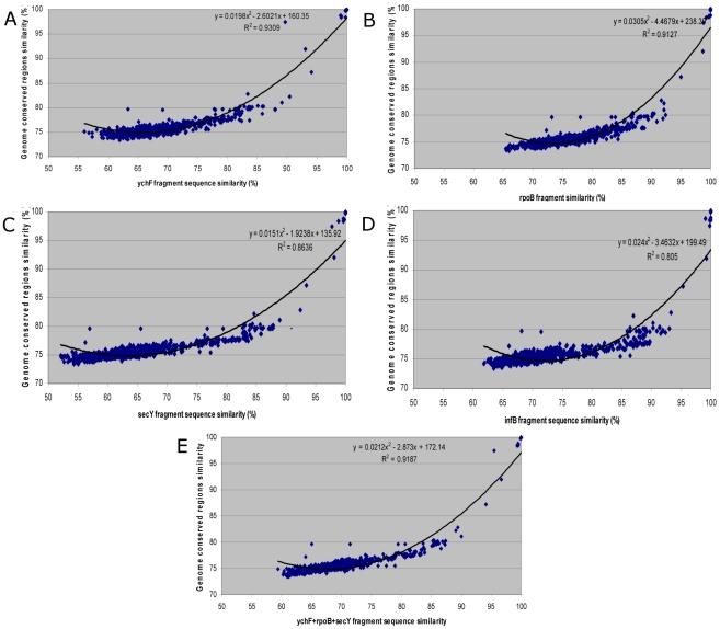
Comparative genomic sequencing is shedding new light on bacterial identification, taxonomy and phylogeny. An in silico assessment of a core gene set necessary for cellular functioning was made to determine a consensus set of genes that would be useful for the identification, taxonomy and phylogeny of the species belonging to the subclass Actinobacteridae which contained two orders Actinomycetales and Bifidobacteriales. The subclass Actinobacteridae comprised about 85% of the actinobacteria families. The following recommended criteria were used to establish a comprehensive gene set; the gene should (i) be long enough to contain phylogenetically useful information, (ii) not be subject to horizontal gene transfer, (iii) be a single copy (iv) have at least two regions sufficiently conserved that allow the design of amplification and sequencing primers and (v) predict whole-genome relationships. We applied these constraints to 50 different Actinobacteridae genomes and made 1,224 pairwise comparisons of the genome conserved regions and gene fragments obtained by using Sequence VARiability Analysis Program (SVARAP), which allow designing the primers. Following a comparative statistical modeling phase, 3 gene fragments were selected, ychF, rpoB, and secY with R2>0.85. Selected sets of broad range primers were tested from the 3 gene fragments and were demonstrated to be useful for amplification and sequencing of 25 species belonging to 9 genera of Actinobacteridae. The intraspecies similarities were 96.3-100% for ychF, 97.8-100% for rpoB and 96.9-100% for secY among 73 strains belonging to 15 species of the subclass Actinobacteridae compare to 99.4-100% for 16S rRNA. The phylogenetic topology obtained from the combined datasets ychF+rpoB+secY was globally similar to that inferred from the 16S rRNA but with higher confidence. It was concluded that multi-locus sequence analysis using core gene set might represent the first consensus and valid approach for investigating the bacterial identification, phylogeny and taxonomy.

摘要

比较基因组测序为细菌鉴定、分类和系统发育提供了新的线索。为了确定一组对鉴定、分类和系统发育有用的共识基因,我们对细胞功能所必需的核心基因集进行了计算机评估,这些基因属于放线菌亚纲(Actinobacteridae),其中包含两个目:放线菌目(Actinomycetales)和双歧杆菌目(Bifidobacteriales)。放线菌亚纲约占放线菌科的 85%。以下建议的标准用于建立一个全面的基因集:基因应(i)足够长以包含系统发育有用的信息,(ii)不受水平基因转移的影响,(iii)为单拷贝,(iv)至少有两个足够保守的区域,允许设计扩增和测序引物,以及(v)预测全基因组关系。我们将这些限制应用于 50 个不同的放线菌科基因组,并使用序列变异性分析程序(SVARAP)对获得的基因组保守区和基因片段进行了 1224 次成对比较,该程序允许设计引物。在比较统计建模阶段之后,选择了 3 个基因片段,即 ychF、rpoB 和 secY,其 R2>0.85。从这 3 个基因片段中选择了一组广谱引物进行测试,结果证明它们可用于扩增和测序属于放线菌科 9 个属的 25 个种。在 73 株属于放线菌亚纲 15 个种的菌株中,ychF 的种内相似性为 96.3-100%,rpoB 为 97.8-100%,secY 为 96.9-100%,而 16S rRNA 的相似性为 99.4-100%。从 ychF+rpoB+secY 联合数据集获得的系统发育拓扑结构与从 16S rRNA 推断的拓扑结构总体上相似,但置信度更高。结论是,使用核心基因集的多位点序列分析可能代表细菌鉴定、系统发育和分类的第一个共识和有效方法。

https://cdn.ncbi.nlm.nih.gov/pmc/blobs/0d08/3069002/71528dc6a8f0/pone.0014792.g001.jpg

文献AI研究员

20分钟写一篇综述,助力文献阅读效率提升50倍。

立即体验

用中文搜PubMed

大模型驱动的PubMed中文搜索引擎

马上搜索

文档翻译

学术文献翻译模型,支持多种主流文档格式。

立即体验