Suppr超能文献

各国儿童 1 型糖尿病初诊时糖尿病酮症酸中毒频率的差异:系统评价。

Variation between countries in the frequency of diabetic ketoacidosis at first presentation of type 1 diabetes in children: a systematic review.

机构信息

The Primary Care Unit, Department of Public Health and Primary Care, Strangeways Research Laboratory, University of Cambridge, Worts Causeway, Cambridge CB1 8RN, UK.

出版信息

Diabetologia. 2012 Nov;55(11):2878-94. doi: 10.1007/s00125-012-2690-2. Epub 2012 Aug 30.

Abstract

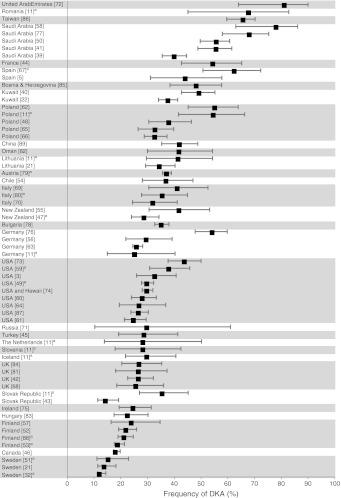
AIMS/HYPOTHESIS: Type 1 diabetes is the most frequent endocrine disease in children, with 65,000 children diagnosed worldwide every year. Up to 80% of these children present with diabetic ketoacidosis (DKA), which is associated with both short-term risks and long-term consequences. This study aimed to characterise the worldwide variation in presentation of type 1 diabetes to inform future interventions to reduce this excess morbidity and mortality.

METHODS

This was a systematic review of studies indexed on PubMed, EMBASE, Web of Science, Scopus or CINAHL before March 2011 that included unselected groups of children presenting with new-onset type 1 diabetes, reported the proportion presenting with DKA and used a definition of DKA based on measurement of pH or bicarbonate.

RESULTS

Sixty-five studies of cohorts comprising over 29,000 children in 31 countries were included. The frequency of DKA at diagnosis ranged from 12.8% to 80%, with highest frequencies in the United Arab Emirates, Saudi Arabia and Romania, and the lowest in Sweden, the Slovak Republic and Canada. Multivariable modelling showed the frequency of DKA was inversely associated with gross domestic product, latitude and background incidence of type 1 diabetes.

CONCLUSIONS/INTERPRETATION: This is the first description of the variation in frequency of DKA at presentation of type 1 diabetes in children across countries. It demonstrates large variations that may, at least in part, be explained by different levels of disease awareness and healthcare provision and suggests ways to decrease the excess morbidity and mortality associated with DKA at diagnosis.

摘要

目的/假设:1 型糖尿病是儿童中最常见的内分泌疾病,全球每年有 65000 名儿童被诊断出患有该病。其中高达 80%的儿童患有糖尿病酮症酸中毒(DKA),这与短期风险和长期后果都有关。本研究旨在描述全球儿童 1 型糖尿病发病表现的差异,以便为未来减少这种过度发病率和死亡率的干预措施提供信息。

方法

这是一项对 2011 年 3 月前在 PubMed、EMBASE、Web of Science、Scopus 或 CINAHL 上索引的研究进行的系统综述,这些研究纳入了新诊断为 1 型糖尿病的未经选择的儿童群体,报告了 DKA 的比例,并使用 pH 或碳酸氢盐测量值来定义 DKA。

结果

纳入了来自 31 个国家的 65 项队列研究,共涉及 29000 多名儿童。DKA 在诊断时的发生率从 12.8%到 80%不等,阿联酋、沙特阿拉伯和罗马尼亚的发生率最高,瑞典、斯洛伐克共和国和加拿大的发生率最低。多变量模型显示,DKA 的频率与国内生产总值、纬度和 1 型糖尿病的背景发病率呈负相关。

结论/解释:这是首次描述全球各国儿童 1 型糖尿病发病时 DKA 发生率的差异。它表明存在很大的差异,至少部分可以通过不同的疾病认识水平和医疗保健水平来解释,并提出了一些方法来降低与诊断时 DKA 相关的过度发病率和死亡率。

https://cdn.ncbi.nlm.nih.gov/pmc/blobs/989f/3464389/f0d1207d3fc2/125_2012_2690_Fig1_HTML.jpg

文献AI研究员

20分钟写一篇综述,助力文献阅读效率提升50倍。

立即体验

用中文搜PubMed

大模型驱动的PubMed中文搜索引擎

马上搜索

文档翻译

学术文献翻译模型,支持多种主流文档格式。

立即体验