Suppr超能文献

定量分析 H19、IGF2 和 IGF2R 在人类胎盘整个妊娠过程中的等位基因特异性表达和 DNA 甲基化,揭示了 H19 印迹的可塑性。

Quantitative allele-specific expression and DNA methylation analysis of H19, IGF2 and IGF2R in the human placenta across gestation reveals H19 imprinting plasticity.

机构信息

The Robinson Institute, Research Centre for Reproductive Health, School of Paediatrics and Reproductive Health, The University of Adelaide, Adelaide, South Australia, Australia.

出版信息

PLoS One. 2012;7(12):e51210. doi: 10.1371/journal.pone.0051210. Epub 2012 Dec 5.

Abstract

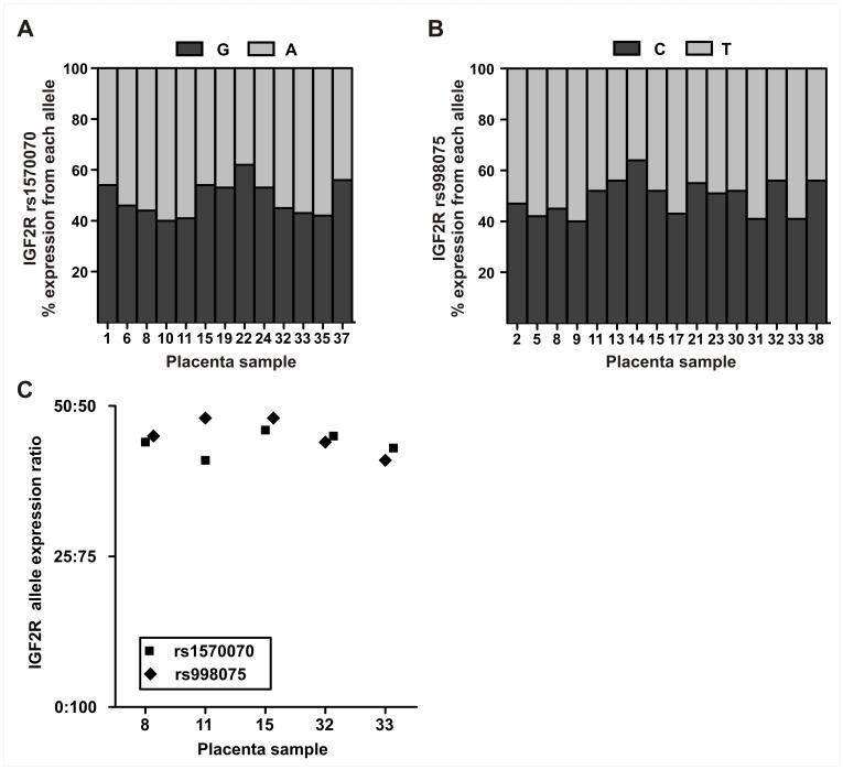
Imprinted genes play important roles in placental differentiation, growth and function, with profound effects on fetal development. In humans, H19 and IGF2 are imprinted, but imprinting of IGF2R remains controversial. The H19 non-coding RNA is a negative regulator of placental growth and altered placental imprinting of H19-IGF2 has been associated with pregnancy complications such as preeclampsia, which have been attributed to abnormal first trimester placentation. This suggests that changes in imprinting during the first trimester may precede aberrant placental morphogenesis. To better understand imprinting in the human placenta during early gestation, we quantified allele-specific expression for H19, IGF2 and IGF2R in first trimester (6-12 weeks gestation) and term placentae (37-42 weeks gestation) using pyrosequencing. Expression of IGF2R was biallelic, with a mean expression ratio of 49:51 (SD = 0.07), making transient imprinting unlikely. Expression from the repressed H19 alleles ranged from 1-25% and was higher (P<0.001) in first trimester (13.5 ± 8.2%) compared to term (3.4 ± 2.1%) placentae. Surprisingly, despite the known co-regulation of H19 and IGF2, little variation in expression of the repressed IGF2 alleles was observed (2.7 ± 2.0%). To identify regulatory regions that may be responsible for variation in H19 allelic expression, we quantified DNA methylation in the H19-IGF2 imprinting control region and H19 transcription start site (TSS). Unexpectedly, we found positive correlations (P<0.01) between DNA methylation levels and expression of the repressed H19 allele at 5 CpG's 2000 bp upstream of the H19 TSS. Additionally, DNA methylation was significantly higher (P<0.05) in first trimester compared with term placentae at 5 CpG's 39-523 bp upstream of the TSS, but was not correlated with H19 repressed allele expression. Our data suggest that variation in H19 imprinting may contribute to early programming of placental phenotype and illustrate the need for quantitative and robust methodologies to further elucidate the role of imprinted genes in normal and pathological placental development.

摘要

印迹基因在胎盘分化、生长和功能中发挥重要作用,对胎儿发育有深远影响。在人类中,H19 和 IGF2 是印迹的,但 IGF2R 的印迹仍存在争议。H19 非编码 RNA 是胎盘生长的负调节剂,H19-IGF2 的胎盘印迹改变与子痫前期等妊娠并发症有关,这些并发症归因于异常的早孕胎盘形成。这表明,第一孕期印迹的变化可能先于异常的胎盘形态发生。为了更好地理解早孕期间人类胎盘的印迹,我们使用焦磷酸测序技术定量分析了第一孕期(6-12 周妊娠)和足月胎盘(37-42 周妊娠)中 H19、IGF2 和 IGF2R 的等位基因特异性表达。IGF2R 的表达为双等位基因,表达比为 49:51(标准差=0.07),因此暂时印迹不太可能。受抑制的 H19 等位基因的表达范围为 1-25%,在第一孕期(13.5±8.2%)高于足月(3.4±2.1%)胎盘(P<0.001)。令人惊讶的是,尽管 H19 和 IGF2 的已知共调控,但受抑制的 IGF2 等位基因的表达变化很小(2.7±2.0%)。为了确定可能导致 H19 等位基因表达变化的调节区域,我们定量分析了 H19-IGF2 印迹控制区和 H19 转录起始位点(TSS)的 DNA 甲基化。出乎意料的是,我们发现 H19 TSS 上游 2000bp 处受抑制的 H19 等位基因的 DNA 甲基化水平与表达呈正相关(P<0.01)。此外,TSS 上游 39-523bp 处的 5 个 CpG 的 DNA 甲基化在第一孕期明显高于足月(P<0.05),但与受抑制的 H19 等位基因表达无关。我们的数据表明,H19 印迹的变化可能导致胎盘表型的早期编程,并说明了需要定量和稳健的方法来进一步阐明印迹基因在正常和病理性胎盘发育中的作用。

https://cdn.ncbi.nlm.nih.gov/pmc/blobs/31c8/3515552/d303791f6ad6/pone.0051210.g001.jpg

文献AI研究员

20分钟写一篇综述,助力文献阅读效率提升50倍。

立即体验

用中文搜PubMed

大模型驱动的PubMed中文搜索引擎

马上搜索

文档翻译

学术文献翻译模型,支持多种主流文档格式。

立即体验