Suppr超能文献

血浆肌酐浓度正常的脓毒症和创伤患者的肾脏清除率增加:识别高危患者。

Augmented renal clearance in septic and traumatized patients with normal plasma creatinine concentrations: identifying at-risk patients.

作者信息

Udy Andrew A, Roberts Jason A, Shorr Andrew F, Boots Robert J, Lipman Jeffrey

出版信息

Crit Care. 2013 Feb 28;17(1):R35. doi: 10.1186/cc12544.

Abstract

INTRODUCTION

Improved methods to optimize drug dosing in the critically ill are urgently needed. Traditional prescribing culture involves recognition of factors that mandate dose reduction (such as renal impairment), although optimizing drug exposure, through more frequent or augmented dosing, represents an evolving strategy. Elevated creatinine clearance (CLCR) has been associated with sub-therapeutic antibacterial concentrations in the critically ill, a concept termed augmented renal clearance (ARC). We aimed to determine the prevalence of ARC in a cohort of septic and traumatized critically ill patients, while also examining demographic, physiological and illness severity characteristics that may help identify this phenomenon.

METHODS

This prospective observational study was performed in a 30-bed tertiary level, university affiliated, adult intensive care unit. Consecutive traumatized and septic critically ill patients, receiving antibacterial therapy, with a plasma creatinine concentration ≤110 μmol/L, were eligible for enrolment. Pulse contour analysis (Vigileo / Flo Trac system, Edwards Lifesciences, Irvine, CA, USA), was used to provide continuous cardiac index (CI) assessment over a single six-hour dosing interval. Urinary CLCR measures were obtained concurrently.

RESULTS

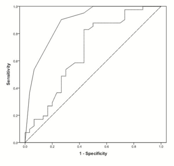
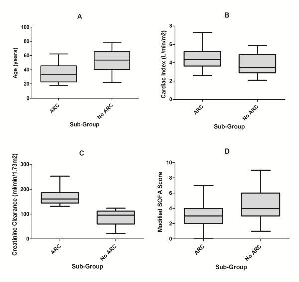
Seventy-one patients contributed data (sepsis n = 43, multi-trauma n = 28). Overall, 57.7% of the cohort manifested ARC, although there was a greater prevalence in trauma (85.7% versus 39.5%, P <0.001). In all patients, a weak correlation was noted between CI and CLCR (r = 0.346, P = 0.003). This was mostly driven by septic patients (r = 0.508, P = 0.001), as no correlation (r = -0.012, P = 0.951) was identified in trauma. Those manifesting ARC were younger (P <0.001), male (P = 0.012), with lower acute physiology and chronic health evaluation (APACHE) II (P= 0.008) and modified sequential organ failure assessment (SOFA) scores (P = 0.013), and higher cardiac indices (P = 0.013). In multivariate analysis, age ≤50 years, trauma, and a modified SOFA score ≤4, were identified as significant risk factors. These had greater utility in predicting ARC, compared with CI assessment alone.

CONCLUSIONS

Diagnosis, illness severity and age, are likely to significantly influence renal drug elimination in the critically ill, and must be regularly considered in future study design and daily prescribing practice.

摘要

引言

迫切需要改进重症患者药物剂量优化的方法。传统的处方习惯包括识别那些要求减少剂量的因素(如肾功能损害),尽管通过更频繁或增加剂量来优化药物暴露是一种不断发展的策略。肌酐清除率(CLCR)升高与重症患者抗菌药物浓度低于治疗水平有关,这一概念被称为肾脏清除率增加(ARC)。我们旨在确定脓毒症和创伤性重症患者队列中ARC的患病率,同时研究可能有助于识别这一现象的人口统计学、生理学和疾病严重程度特征。

方法

这项前瞻性观察性研究在一家拥有30张床位的大学附属三级成人重症监护病房进行。连续纳入接受抗菌治疗、血浆肌酐浓度≤110μmol/L的创伤性和脓毒症重症患者。采用脉搏轮廓分析(Vigileo / Flo Trac系统,美国加利福尼亚州尔湾市爱德华兹生命科学公司)在单个六小时给药间隔内提供连续的心指数(CI)评估。同时获取尿CLCR测量值。

结果

71名患者提供了数据(脓毒症n = 43,多发伤n = 28)。总体而言,该队列中57.7%表现出ARC,尽管创伤患者中的患病率更高(85.7%对39.5%,P <0.001)。在所有患者中,CI与CLCR之间存在弱相关性(r = 0.346,P = 0.003)。这主要由脓毒症患者驱动(r = 0.508,P = 0.001),因为在创伤患者中未发现相关性(r = -0.012,P = 0.951)。表现出ARC的患者更年轻(P <0.001)、为男性(P = 0.012),急性生理学与慢性健康状况评价(APACHE)II评分较低(P = 0.008)、改良序贯器官衰竭评估(SOFA)评分较低(P = 0.013),且心指数较高(P = 0.013)。在多变量分析中,年龄≤50岁、创伤和改良SOFA评分≤4被确定为显著危险因素。与单独的CI评估相比,这些因素在预测ARC方面具有更大的效用。

结论

诊断、疾病严重程度和年龄可能会显著影响重症患者的肾脏药物清除,在未来的研究设计和日常处方实践中必须经常予以考虑。

https://cdn.ncbi.nlm.nih.gov/pmc/blobs/8e3b/4056783/e66bde43e589/cc12544-1.jpg

文献AI研究员

20分钟写一篇综述,助力文献阅读效率提升50倍。

立即体验

用中文搜PubMed

大模型驱动的PubMed中文搜索引擎

马上搜索

文档翻译

学术文献翻译模型,支持多种主流文档格式。

立即体验