Suppr超能文献

大环药物和大环合成方法学。

Macrocyclic drugs and synthetic methodologies toward macrocycles.

机构信息

Department of Pharmaceutical Sciences, The Daniel K. Inouye College of Pharmacy, University of Hawai'i at Hilo, 34 Rainbow Drive, Hilo, HI 96720, USA.

出版信息

Molecules. 2013 May 24;18(6):6230-68. doi: 10.3390/molecules18066230.

Abstract

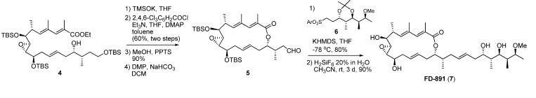
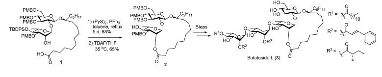
Macrocyclic scaffolds are commonly found in bioactive natural products and pharmaceutical molecules. So far, a large number of macrocyclic natural products have been isolated and synthesized. The construction of macrocycles is generally considered as a crucial and challenging step in the synthesis of macrocyclic natural products. Over the last several decades, numerous efforts have been undertaken toward the synthesis of complex naturally occurring macrocycles and great progresses have been made to advance the field of total synthesis. The commonly used synthetic methodologies toward macrocyclization include macrolactonization, macrolactamization, transition metal-catalyzed cross coupling, ring-closing metathesis, and click reaction, among others. Selected recent examples of macrocyclic synthesis of natural products and druglike macrocycles with significant biological relevance are highlighted in each class. The primary goal of this review is to summarize currently used macrocyclic drugs, highlight the therapeutic potential of this underexplored drug class and outline the general synthetic methodologies for the synthesis of macrocycles.

摘要

大环支架通常存在于生物活性天然产物和药物分子中。到目前为止,已经分离和合成了大量的大环天然产物。大环的构建通常被认为是大环天然产物合成中的关键和具有挑战性的步骤。在过去的几十年中,人们为合成复杂的天然存在的大环化合物做出了许多努力,并在全合成领域取得了很大的进展。常见的大环化合成方法包括大环内酯化、大环内酰胺化、过渡金属催化交叉偶联、环 closing metathesis 和点击反应等。本文在每个类别中都重点介绍了具有重要生物学相关性的天然产物大环合成和类药性大环合成的最新实例。本文的主要目的是总结目前使用的大环药物,强调这一未充分探索的药物类别具有治疗潜力,并概述大环合成的一般合成方法。

https://cdn.ncbi.nlm.nih.gov/pmc/blobs/6834/6270075/2e54aad5632b/molecules-18-06230-g001.jpg

相似文献

1
Macrocyclic drugs and synthetic methodologies toward macrocycles.
Molecules. 2013 May 24;18(6):6230-68. doi: 10.3390/molecules18066230.
4
Macrocyclizations for medicinal chemistry: synthesis of druglike macrocycles by high-concentration Ullmann coupling.
J Org Chem. 2012 Dec 21;77(24):11079-90. doi: 10.1021/jo302089f. Epub 2012 Dec 6.
5
Synthetic Opportunities and Challenges for Macrocyclic Kinase Inhibitors.
J Med Chem. 2021 Jun 24;64(12):7991-8009. doi: 10.1021/acs.jmedchem.1c00217. Epub 2021 Jun 2.
6
Strategies for the Diversity-Oriented Synthesis of Macrocycles.
Chem Rev. 2019 Sep 11;119(17):10288-10317. doi: 10.1021/acs.chemrev.9b00084. Epub 2019 Jun 20.
7
Exploring the synthetic approaches and clinical prowess of established macrocyclic pharmaceuticals.
Eur J Med Chem. 2024 Jan 15;264:116051. doi: 10.1016/j.ejmech.2023.116051. Epub 2023 Dec 14.
8
A short route for the synthesis of "sweet" macrocycles via a click-dimerization-ring-closing metathesis approach.
Chem Commun (Camb). 2005 Jun 14(22):2852-4. doi: 10.1039/b502682b. Epub 2005 Apr 21.
9
Stereoconfining macrocyclizations in the total synthesis of natural products.
Nat Prod Rep. 2019 Nov 13;36(11):1546-1575. doi: 10.1039/c8np00094h.
10
Heck Macrocyclization in Forging Non-Natural Large Rings including Macrocyclic Drugs.
Int J Mol Sci. 2023 May 4;24(9):8252. doi: 10.3390/ijms24098252.

引用本文的文献

1
A Build, Couple, Pair (B/C/P) Strategy in the Synthesis of Diindole Fused Diazamacrocycles: An Attempt to a Green Synthetic Approach.
ACS Omega. 2025 Sep 23;10(39):46153-46164. doi: 10.1021/acsomega.5c08238. eCollection 2025 Oct 7.
2
A Benchmark Set of Bioactive Molecules for Diversity Analysis of Compound Libraries and Combinatorial Chemical Spaces.
J Chem Inf Model. 2025 Sep 8;65(17):9097-9124. doi: 10.1021/acs.jcim.5c00719. Epub 2025 Aug 20.
4
Directed Evolution of a Modular Polyketide Synthase Thioesterase for Generation of a Hybrid Macrocyclic Ring System.
ACS Catal. 2025 Feb 21;15(4):3405-3417. doi: 10.1021/acscatal.4c07922. Epub 2025 Feb 11.
5
FDA-approved drugs featuring macrocycles or medium-sized rings.
Arch Pharm (Weinheim). 2025 Jan;358(1):e2400890. doi: 10.1002/ardp.202400890.
7
From Pseudocyclic to Macrocyclic Ionophores: Strategies toward the Synthesis of Cyclic Monensin Derivatives.
J Org Chem. 2025 Jan 24;90(3):1344-1353. doi: 10.1021/acs.joc.4c02715. Epub 2025 Jan 10.
8
Interformer: an interaction-aware model for protein-ligand docking and affinity prediction.
Nat Commun. 2024 Nov 25;15(1):10223. doi: 10.1038/s41467-024-54440-6.
9
Structure-Activity Relationship Study of Biselyngbyolide B Reveals Mitochondrial Fission-Induced Cytotoxicity in Cancer.
ACS Med Chem Lett. 2024 Apr 19;15(5):696-705. doi: 10.1021/acsmedchemlett.4c00094. eCollection 2024 May 9.
10
Antibiotic Resistances of Clostridioides difficile.
Adv Exp Med Biol. 2024;1435:169-198. doi: 10.1007/978-3-031-42108-2_9.

本文引用的文献

1
Methods for the synthesis of macrocycle libraries for drug discovery.
Drug Discov Today Technol. 2010 Summer;7(2):e95-e146. doi: 10.1016/j.ddtec.2010.06.002.
2
Syntheses and evaluation of macrocyclic engelhardione analogs as antitubercular and antibacterial agents.
J Antibiot (Tokyo). 2013 Jun;66(6):319-25. doi: 10.1038/ja.2013.21. Epub 2013 Apr 3.
3
Total synthesis of the big four antibiotics and related antibiotics.
J Antibiot (Tokyo). 2013 Mar;66(3):107-29. doi: 10.1038/ja.2012.126.
4
Is synthesis the main hurdle for the generation of diversity in compound libraries for screening?
Expert Opin Drug Discov. 2009 May;4(5):467-72. doi: 10.1517/17460440902916606.
5
Efficient construction of proline-containing β-turn mimetic cyclic tetrapeptides via CuAAC macrocyclization.
Org Lett. 2013 Mar 15;15(6):1206-9. doi: 10.1021/ol303572t. Epub 2013 Mar 6.
6
Formal total synthesis of the algal toxin (-)-polycavernoside A.
Chemistry. 2013 Apr 2;19(14):4532-7. doi: 10.1002/chem.201204551. Epub 2013 Feb 18.
7
A highly convergent and efficient synthesis of a macrocyclic hepatitis C virus protease inhibitor BI 201302.
Org Lett. 2013 Mar 1;15(5):1016-9. doi: 10.1021/ol303498m. Epub 2013 Feb 13.
8
Alkyne metathesis on the rise.
Angew Chem Int Ed Engl. 2013 Mar 4;52(10):2794-819. doi: 10.1002/anie.201204513. Epub 2013 Jan 25.
10
Direct imine acylation: synthesis of the proposed structures of 'upenamide.
Org Lett. 2013 Jan 18;15(2):262-5. doi: 10.1021/ol3030764. Epub 2012 Dec 24.

文献AI研究员

20分钟写一篇综述,助力文献阅读效率提升50倍。

立即体验

用中文搜PubMed

大模型驱动的PubMed中文搜索引擎

马上搜索

文档翻译

学术文献翻译模型,支持多种主流文档格式。

立即体验