Suppr超能文献

肥胖相关化合物筛选系统的评估:内分泌干扰物的筛选以及对 PPAR 效应依赖性的评估。

Evaluation of a screening system for obesogenic compounds: screening of endocrine disrupting compounds and evaluation of the PPAR dependency of the effect.

机构信息

Systemic Physiological and Ecotoxicological Research (SPHERE), Department of Biology, University of Antwerp, Antwerp, Belgium.

出版信息

PLoS One. 2013 Oct 14;8(10):e77481. doi: 10.1371/journal.pone.0077481. eCollection 2013.

Abstract

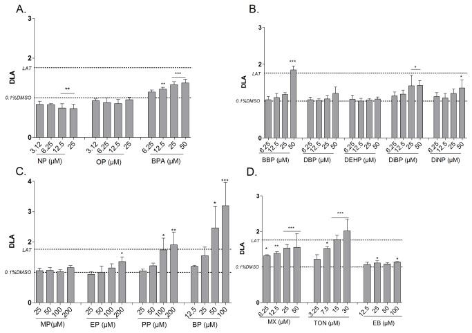
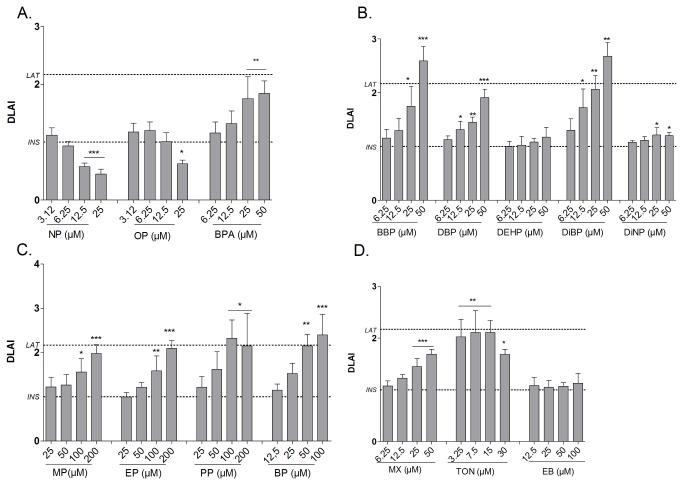
Recently the environmental obesogen hypothesis has been formulated, proposing a role for endocrine disrupting compounds (EDCs) in the development of obesity. To evaluate this hypothesis, a screening system for obesogenic compounds is urgently needed. In this study, we suggest a standardised protocol for obesogen screening based on the 3T3-L1 cell line, a well-characterised adipogenesis model, and direct fluorescent measurement using Nile red lipid staining technique. In a first phase, we characterised the assay using the acknowledged obesogens rosiglitazone and tributyltin. Based on the obtained dose-response curves for these model compounds, a lipid accumulation threshold value was calculated to ensure the biological relevance and reliability of statistically significant effects. This threshold based method was combined with the well described strictly standardized mean difference (SSMD) method for classification of non-, weak- or strong obesogenic compounds. In the next step, a range of EDCs, used in personal and household care products (parabens, musks, phthalates and alkylphenol compounds), were tested to further evaluate the obesogenicity screening assay for its discriminative power and sensitivity. Additionally, the peroxisome proliferator activated receptor γ (PPARγ) dependency of the positive compounds was evaluated using PPARγ activation and antagonist experiments. Our results showed the adipogenic potential of all tested parabens, several musks and phthalate compounds and bisphenol A (BPA). PPARγ activation was associated with adipogenesis for parabens, phthalates and BPA, however not required for obesogenic effects induced by Tonalide, indicating the role of other obesogenic mechanisms for this compound.

摘要

最近提出了环境肥胖物假说,即认为内分泌干扰化合物(EDCs)在肥胖症的发展中起作用。为了评估这一假说,迫切需要建立一种肥胖物筛选系统。在这项研究中,我们基于已充分研究的脂肪生成模型 3T3-L1 细胞系,提出了一种基于尼罗红脂质染色技术的标准化肥胖物筛选方案。在第一阶段,我们使用公认的肥胖物罗格列酮和三丁基锡对该检测方法进行了特征描述。基于这些模型化合物的剂量反应曲线,我们计算出了一个脂质积累阈值,以确保统计学上显著效果的生物学相关性和可靠性。该基于阈值的方法与严格标准化均数差(SSMD)方法相结合,用于对非肥胖物、弱肥胖物或强肥胖物进行分类。在下一步中,我们测试了一系列用于个人护理和家庭护理产品的 EDC(对羟基苯甲酸酯、麝香、邻苯二甲酸酯和烷基酚化合物),以进一步评估肥胖物筛选检测的区分能力和敏感性。此外,我们还通过 PPARγ 激活和拮抗剂实验,评估了阳性化合物的过氧化物酶体增殖物激活受体γ(PPARγ)依赖性。结果表明,所有测试的对羟基苯甲酸酯、几种麝香和邻苯二甲酸酯化合物以及双酚 A(BPA)均具有脂肪生成潜力。PPARγ 激活与对羟基苯甲酸酯、邻苯二甲酸酯和 BPA 的脂肪生成有关,但对 Tonlide 诱导的肥胖效应并非必需,这表明该化合物存在其他肥胖机制。

https://cdn.ncbi.nlm.nih.gov/pmc/blobs/1320/3796469/85576455912d/pone.0077481.g001.jpg

文献AI研究员

20分钟写一篇综述,助力文献阅读效率提升50倍。

立即体验

用中文搜PubMed

大模型驱动的PubMed中文搜索引擎

马上搜索

文档翻译

学术文献翻译模型,支持多种主流文档格式。

立即体验