Suppr超能文献

低度宫颈异常替代管理策略的社会心理影响:TOMBOLA随机对照试验的结果

Psychosocial impact of alternative management policies for low-grade cervical abnormalities: results from the TOMBOLA randomised controlled trial.

作者信息

Sharp Linda, Cotton Seonaidh, Little Julian, Gray Nicola M, Cruickshank Margaret, Smart Louise, Thornton Alison, Waugh Norman, Walker Leslie

机构信息

National Cancer Registry Ireland, Cork Airport Business Park, Kinsale Road, Cork, Ireland.

Obstetrics & Gynaecology, University of Aberdeen, Polwarth Building, Foresterhill, Aberdeen, Scotland.

出版信息

PLoS One. 2013 Dec 30;8(12):e80092. doi: 10.1371/journal.pone.0080092. eCollection 2013.

Abstract

BACKGROUND

Large numbers of women who participate in cervical screening require follow-up for minor cytological abnormalities. Little is known about the psychological consequences of alternative management policies for these women. We compared, over 30-months, psychosocial outcomes of two policies: cytological surveillance (repeat cervical cytology tests in primary care) and a hospital-based colposcopy examination.

METHODS

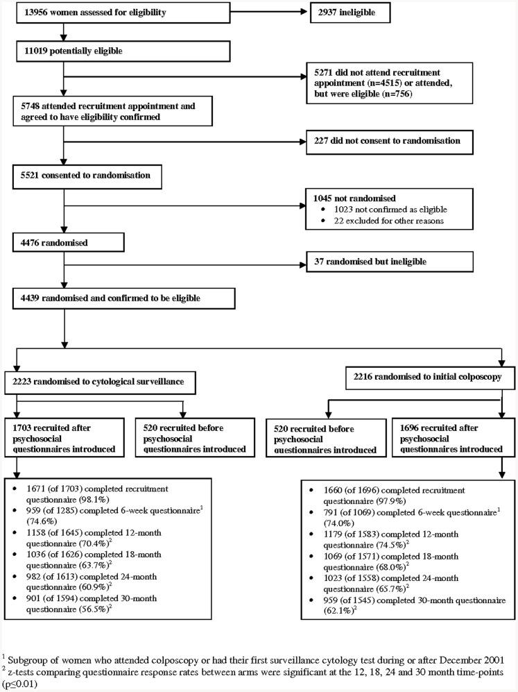
Women attending for a routine cytology test within the UK NHS Cervical Screening Programmes were eligible to participate. 3399 women, aged 20-59 years, with low-grade abnormal cytology, were randomised to cytological surveillance (six-monthly tests; n = 1703) or initial colposcopy with biopsies and/or subsequent treatment based on colposcopic and histological findings (n = 1696). At 12, 18, 24 and 30-months post-recruitment, women completed the Hospital Anxiety and Depression Scale (HADS). A subgroup (n = 2354) completed the Impact of Event Scale (IES) six weeks after the colposcopy episode or first surveillance cytology test. Primary outcomes were percentages over the entire follow-up period of significant depression (≥ 8) and significant anxiety (≥ 11; "30-month percentages"). Secondary outcomes were point prevalences of significant depression, significant anxiety and procedure-related distress (≥ 9). Outcomes were compared between arms by calculating fully-adjusted odds ratios (ORs) for initial colposcopy versus cytological surveillance.

RESULTS

There was no significant difference in 30-month percentages of significant depression (OR = 0.99, 95% CI 0.80-1.21) or anxiety (OR = 0.97, 95% CI 0.81-1.16) between arms. At the six-week assessment, anxiety and distress, but not depression, were significantly less common in the initial colposcopy arm (anxiety: 7.9% vs 13.4%; OR = 0.55, 95% CI 0.38-0.81; distress: 30.6% vs 39.3%, OR = 0.67 95% CI 0.54-0.84). Neither anxiety nor depression differed between arms at subsequent time-points.

CONCLUSIONS

There was no difference in the longer-term psychosocial impact of management policies based on cytological surveillance or initial colposcopy. Policy-makers, clinicians, and women themselves can be reassured that neither management policy has a significantly greater psychosocial cost.

TRIAL REGISTRATION

Controlled-Trials.com ISRCTN 34841617.

摘要

背景

大量参加宫颈筛查的女性需要对轻微细胞学异常进行随访。对于这些女性采用替代管理策略的心理后果知之甚少。我们在30个月的时间里比较了两种策略的心理社会结果:细胞学监测(在初级保健机构重复进行宫颈细胞学检查)和基于医院的阴道镜检查。

方法

在英国国民健康服务体系宫颈筛查项目中参加常规细胞学检查的女性有资格参与。3399名年龄在20 - 59岁、细胞学轻度异常的女性被随机分为细胞学监测组(每六个月检查一次;n = 1703)或初始阴道镜检查及活检组,后续根据阴道镜和组织学检查结果进行治疗(n = 1696)。在招募后的12、18、24和30个月,女性完成医院焦虑抑郁量表(HADS)。一个亚组(n = 2354)在阴道镜检查或首次监测细胞学检查六周后完成事件影响量表(IES)。主要结局是在整个随访期间严重抑郁(≥ 8分)和严重焦虑(≥ 11分;“30个月百分比”)的比例。次要结局是严重抑郁、严重焦虑和与检查相关的痛苦(≥ 9分)的时点患病率。通过计算初始阴道镜检查与细胞学监测的完全调整优势比(OR)来比较两组的结局。

结果

两组之间严重抑郁(OR = 0.99,95% CI 0.80 - 1.21)或焦虑(OR = 0.97,95% CI 0.81 - 1.16)的30个月比例没有显著差异。在六周评估时,初始阴道镜检查组的焦虑和痛苦,但不是抑郁,明显更少见(焦虑:7.9% 对13.4%;OR = 0.55,95% CI 0.38 - 0.81;痛苦:30.6% 对39.3%,OR = 0.67,95% CI 0.54 - 0.84)。在后续时间点,两组之间的焦虑和抑郁均无差异。

结论

基于细胞学监测或初始阴道镜检查的管理策略在长期心理社会影响方面没有差异。政策制定者、临床医生和女性自身可以放心,两种管理策略的心理社会成本都没有显著更高。

试验注册

Controlled - Trials.com ISRCTN 34841617

https://cdn.ncbi.nlm.nih.gov/pmc/blobs/ba4b/3875419/6bae4a5df81c/pone.0080092.g001.jpg

文献AI研究员

20分钟写一篇综述,助力文献阅读效率提升50倍。

立即体验

用中文搜PubMed

大模型驱动的PubMed中文搜索引擎

马上搜索

文档翻译

学术文献翻译模型,支持多种主流文档格式。

立即体验