Suppr超能文献

右美托咪定-氯胺酮与七氟醚-舒芬太尼麻醉对小儿悬雍垂腭咽成形术后阻塞性睡眠呼吸暂停影响的比较:一项观察性研究。

Comparison of the effects of dexmedetomidine-ketamine and sevoflurane-sufentanil anesthesia in children with obstructive sleep apnea after uvulopalatopharyngoplasty: An observational study.

作者信息

Cheng Xinqi, Huang Yue, Zhao Qing, Gu Erwei

机构信息

Department of Anesthesia, First Affiliated Hospital of Anhui Medical University, Hefei, China.

Shanghai Children's Medical Center, Shanghai, China.

出版信息

J Anaesthesiol Clin Pharmacol. 2014 Jan;30(1):31-5. doi: 10.4103/0970-9185.125699.

Abstract

BACKGROUND

Children with obstructive sleep apnea (OSA) are particularly at risk under anesthesia after uvulopalatopharyngoplasty (UPPP). This prospective randomized double-blind study focused on the comparison of dexmedetomidine-ketamine and sevoflurane-sufentanil anesthesia on children with respect to safety, feasibility, and clinical effects.

MATERIALS AND METHODS

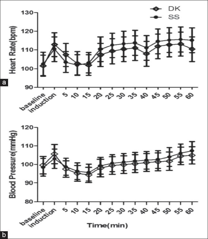
A total of 60 children, aged 2-10 years, classified as American Society of Anesthesiologists (ASA) status I and II scheduled for UPPP were prospectively studied. Patients were randomly allocated to receive either dexmedetomidine-ketamine-based anesthesia (group DK, n = 30) or sevoflurane-sufentanil-based anesthesia (group SS, n = 3 0). Heart rate (HR) and systolic blood pressure during the first 60 min of the procedure, Ramsay sedation score, the Pediatric Anesthesia Emergence Delirium (PAED) scale and a 5-point scale used to evaluate emergence agitation (EA) in postanesthesia care unit (PACU) and postoperative outcomes data were recorded.

RESULTS

During the first 60 min of anesthesia, mean HR, and mean diastolic noninvasive arterial blood pressure (NIBP) were not statistically different in the two groups (P > 0.05) Compared with group SS, the patients in group DK had lower rescue tramadol requirement and lower pain score, PAED score, and EA score at 5, 10, 15, and 30 min in PACU; but had a higher Ramsay scale at 10, 15, 30, 45, and 60 min in PACU and the incidence of SpO2 below 95%, also the time of first bowel movement and ambulation in group DK was shorter.

CONCLUSIONS

The dexmedetomidine-ketamine combination was not superior to a sevoflurane-sufentanil combination because of late awake time and a high potential for adverse respiratory events in PACU, the benefit of dexmedetomidine administration being a decreased incidence of EA and a lower recovery time of bowel movement and ambulation.

摘要

背景

阻塞性睡眠呼吸暂停(OSA)患儿在悬雍垂腭咽成形术(UPPP)后接受麻醉时风险尤其高。这项前瞻性随机双盲研究着重比较右美托咪定 - 氯胺酮麻醉与七氟醚 - 舒芬太尼麻醉在儿童中的安全性、可行性及临床效果。

材料与方法

前瞻性研究了60例年龄在2至10岁、美国麻醉医师协会(ASA)分级为I级和II级且计划接受UPPP的儿童。患者被随机分配接受基于右美托咪定 - 氯胺酮的麻醉(DK组,n = 30)或基于七氟醚 - 舒芬太尼的麻醉(SS组,n = 30)。记录手术前60分钟内的心率(HR)和收缩压、Ramsay镇静评分、小儿麻醉苏醒期谵妄(PAED)量表以及用于评估麻醉后护理单元(PACU)中苏醒躁动(EA)的5分制量表和术后结果数据。

结果

在麻醉的前60分钟内,两组的平均HR和平均舒张压无创动脉血压(NIBP)无统计学差异(P > 0.05)。与SS组相比,DK组患者在PACU中5、10、15和30分钟时的曲马多解救需求量更低,疼痛评分、PAED评分和EA评分更低;但在PACU中10、15、30、45和60分钟时Ramsay量表评分更高;SpO2低于95%的发生率也更高;DK组首次排便和下床活动时间更短。

结论

右美托咪定 - 氯胺酮组合并不优于七氟醚 - 舒芬太尼组合,因为苏醒时间较晚且PACU中发生不良呼吸事件的可能性较高,使用右美托咪定的益处在于降低了EA发生率以及缩短了排便和下床活动的恢复时间。

https://cdn.ncbi.nlm.nih.gov/pmc/blobs/d3cd/3927289/49815e54f03e/JOACP-30-31-g003.jpg

文献AI研究员

20分钟写一篇综述,助力文献阅读效率提升50倍。

立即体验

用中文搜PubMed

大模型驱动的PubMed中文搜索引擎

马上搜索

文档翻译

学术文献翻译模型,支持多种主流文档格式。

立即体验