Suppr超能文献

术前炎症反应生物标志物在胃癌患者中的预后价值及预测模型的构建

Prognostic value of pre-operative inflammatory response biomarkers in gastric cancer patients and the construction of a predictive model.

作者信息

Deng Qiwen, He Bangshun, Liu Xian, Yue Jin, Ying Houqun, Pan Yuqin, Sun Huiling, Chen Jie, Wang Feng, Gao Tianyi, Zhang Lei, Wang Shukui

机构信息

Central Laboratory, Nanjing First Hospital, Nanjing Medical University, Nanjing, Jiangsu, 210006, China.

Department of Laboratory Medicine, Huai'an Second People's Hospital, Huai'an, Jiangsu, China.

出版信息

J Transl Med. 2015 Feb 18;13:66. doi: 10.1186/s12967-015-0409-0.

Abstract

BACKGROUND

Inflammation plays an integral role in carcinogenesis and tumor progression. Inflammatory response biomarkers have shown to be promising prognostic factors for improving the predictive accuracy in various cancers. The aim of this study is to investigate the prognostic significance of pre-operative neutrophil to lymphocyte ratio (NLR), derived neutrophil to lymphocyte ratio (dNLR), platelet to lymphocyte ratio (PLR) and lymphocyte to monocyte ratio (LMR) in gastric cancer (GC).

METHODS

389 patients who had undergone gastrectomy were enrolled from 2007 to 2009 in this study. NLR, dNLR, PLR and LMR were calculated from peripheral blood cell count taken at pre-operation. Receiver operating curve (ROC) was used to determine the optimal cut-off levels for these biomarkers. A predictive model or nomogram was established to predict prognosis for cancer-specific survival (CSS) and disease-free survival (DFS), and the predictive accuracy of the nomogram was determined by concordance index (c-index).

RESULTS

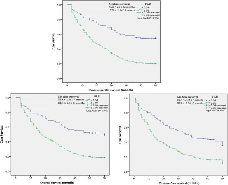
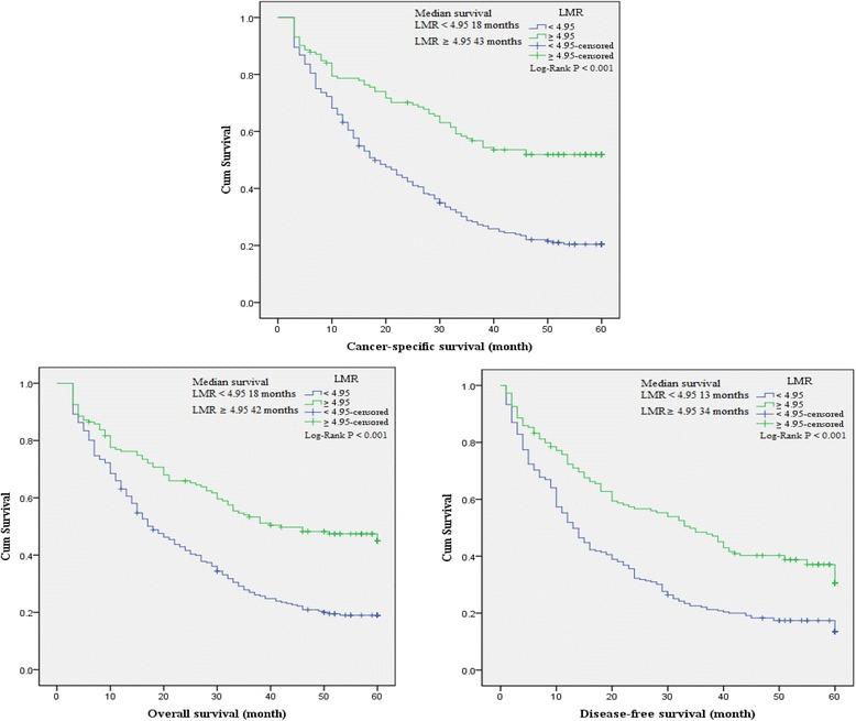
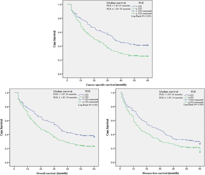
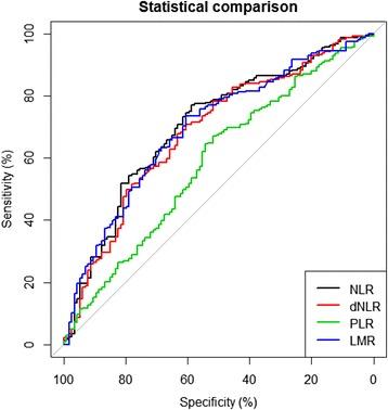
The median follow-up period was 24 months ranging from 3 months to 60 months. The optimal cut-off levels were 2.36 for NLR, 1.85 for dNLR, 132 for PLR and 4.95 for LMR by ROC curves analysis. Elevated NLR, dNLR and PLR were significantly associated with worse overall survival (OS), CSS and DFS, however, elevated LMR showed an adverse effect on worse OS, CSS and DFS. Multivariate analysis revealed that elevated dNLR was an independent factor for worse OS, and NLR was superior to dNLR, PLR and LMR in terms of hazard ratio (HR = 1.53, 95% CI = 1.11-2.11, P = 0.010), which was shown to be independent prognostic indicators for both CSS and DFS. Moreover, the nomogram could more accurately predict CSS (c-index: 0.89) and DFS (c-index: 0.84) in surgical GC patients.

CONCLUSIONS

Pre-operative NLR and dNLR may serve as potential prognostic biomarkers in patients with GC who underwent surgical resection. The proposed nomograms can be used for the prediction of CSS and DFS in patients with GC who have undergone gastrectomy.

摘要

背景

炎症在致癌作用和肿瘤进展中起着不可或缺的作用。炎症反应生物标志物已被证明是提高各种癌症预测准确性的有前景的预后因素。本研究的目的是探讨术前中性粒细胞与淋巴细胞比值(NLR)、衍生中性粒细胞与淋巴细胞比值(dNLR)、血小板与淋巴细胞比值(PLR)和淋巴细胞与单核细胞比值(LMR)在胃癌(GC)中的预后意义。

方法

本研究纳入了2007年至2009年期间接受胃切除术的389例患者。NLR、dNLR、PLR和LMR通过术前采集的外周血细胞计数计算得出。采用受试者工作特征曲线(ROC)确定这些生物标志物的最佳临界值。建立预测模型或列线图以预测癌症特异性生存(CSS)和无病生存(DFS)的预后,并通过一致性指数(c指数)确定列线图的预测准确性。

结果

中位随访期为24个月,范围从3个月至60个月。通过ROC曲线分析,NLR的最佳临界值为2.36,dNLR为1.85,PLR为132,LMR为4.95。NLR、dNLR和PLR升高与较差的总生存(OS)、CSS和DFS显著相关,然而,LMR升高对较差的OS、CSS和DFS有不利影响。多因素分析显示,dNLR升高是OS较差的独立因素,并且在风险比方面NLR优于dNLR、PLR和LMR(HR = 1.53,95%CI = 1.11 - 2.11,P = 0.010),这被证明是CSS和DFS的独立预后指标。此外,列线图可以更准确地预测手术GC患者的CSS(c指数:0.89)和DFS(c指数:0.84)。

结论

术前NLR和dNLR可能作为接受手术切除的GC患者潜在的预后生物标志物。所提出的列线图可用于预测接受胃切除术的GC患者的CSS和DFS。

https://cdn.ncbi.nlm.nih.gov/pmc/blobs/011c/4343078/d2fab40aaf82/12967_2015_409_Fig1_HTML.jpg

文献AI研究员

20分钟写一篇综述,助力文献阅读效率提升50倍。

立即体验

用中文搜PubMed

大模型驱动的PubMed中文搜索引擎

马上搜索

文档翻译

学术文献翻译模型,支持多种主流文档格式。

立即体验