Suppr超能文献

基于罗丹明荧光团的用于Al³⁺的高灵敏度和高选择性比色及开-关荧光可逆化学传感器。

Highly sensitive and selective colorimetric and off-on fluorescent reversible chemosensors for Al³⁺ based on the rhodamine fluorophore.

作者信息

Mergu Naveen, Singh Ashok Kumar, Gupta Vinod Kumar

机构信息

Department of Chemistry, Indian Institute of Technology Roorkee, Roorkee 247 667, India.

Center for Environment and Water, The research Institute, King Fahd University of Petroleum & Minerals, Dhahran 31261, Saudi Arabia.

出版信息

Sensors (Basel). 2015 Apr 17;15(4):9097-111. doi: 10.3390/s150409097.

Abstract

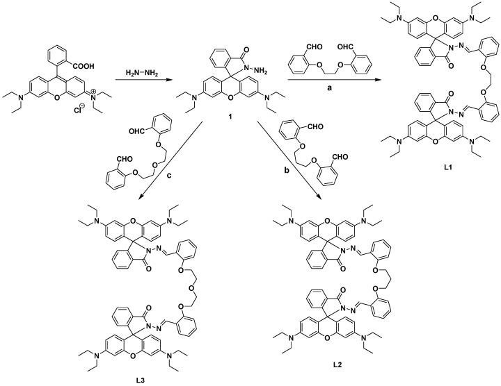
A series of rhodamine derivatives L1-L3 have been prepared and characterized by IR, 1H-NMR, 13C-NMR and ESI-MS. These compounds exhibited selective and sensitive "turn-on" fluorescent and colorimetric responses to Al3+ in methanol. Upon the addition of Al(III), the spiro ring was opened and a metal-probe complex was formed in a 1:1 stoichiometry, as was further confirmed by ESI-MS spectroscopy. The chemo-dosimeters L1-L3 exhibited good binding constants and low detection limits towards Al(III). We also successfully demonstrate the reversibility of the metal to ligand complexation (opened ring to spirolactam ring).

摘要

已经制备了一系列罗丹明衍生物L1-L3,并通过红外光谱(IR)、核磁共振氢谱(1H-NMR)、核磁共振碳谱(13C-NMR)和电喷雾电离质谱(ESI-MS)对其进行了表征。这些化合物在甲醇中对Al3+表现出选择性和灵敏的“开启”荧光和比色响应。加入Al(III)后,螺环打开,形成了化学计量比为1:1的金属-探针配合物,电喷雾电离质谱进一步证实了这一点。化学剂量计L1-L3对Al(III)表现出良好的结合常数和低检测限。我们还成功地证明了金属与配体络合的可逆性(开环到螺内酰胺环)。

https://cdn.ncbi.nlm.nih.gov/pmc/blobs/b7c6/4431275/7682b2e71c35/sensors-15-09097-g012.jpg

文献AI研究员

20分钟写一篇综述,助力文献阅读效率提升50倍。

立即体验

用中文搜PubMed

大模型驱动的PubMed中文搜索引擎

马上搜索

文档翻译

学术文献翻译模型,支持多种主流文档格式。

立即体验