Suppr超能文献

吡格列酮和非诺贝特对顺铂肾毒性的炎症、氧化和凋亡表现的附加肾脏保护作用:过氧化物酶体增殖物激活受体的调节作用

Additive Renoprotection by Pioglitazone and Fenofibrate against Inflammatory, Oxidative and Apoptotic Manifestations of Cisplatin Nephrotoxicity: Modulation by PPARs.

作者信息

Helmy Mai M, Helmy Maged W, El-Mas Mahmoud M

机构信息

Pharmacology and Toxicology, Faculty of Pharmacy, Alexandria University, Alexandria, Egypt.

Pharmacology and Toxicology, Faculty of Pharmacy, Damanhour University, Damanhour, Egypt.

出版信息

PLoS One. 2015 Nov 4;10(11):e0142303. doi: 10.1371/journal.pone.0142303. eCollection 2015.

Abstract

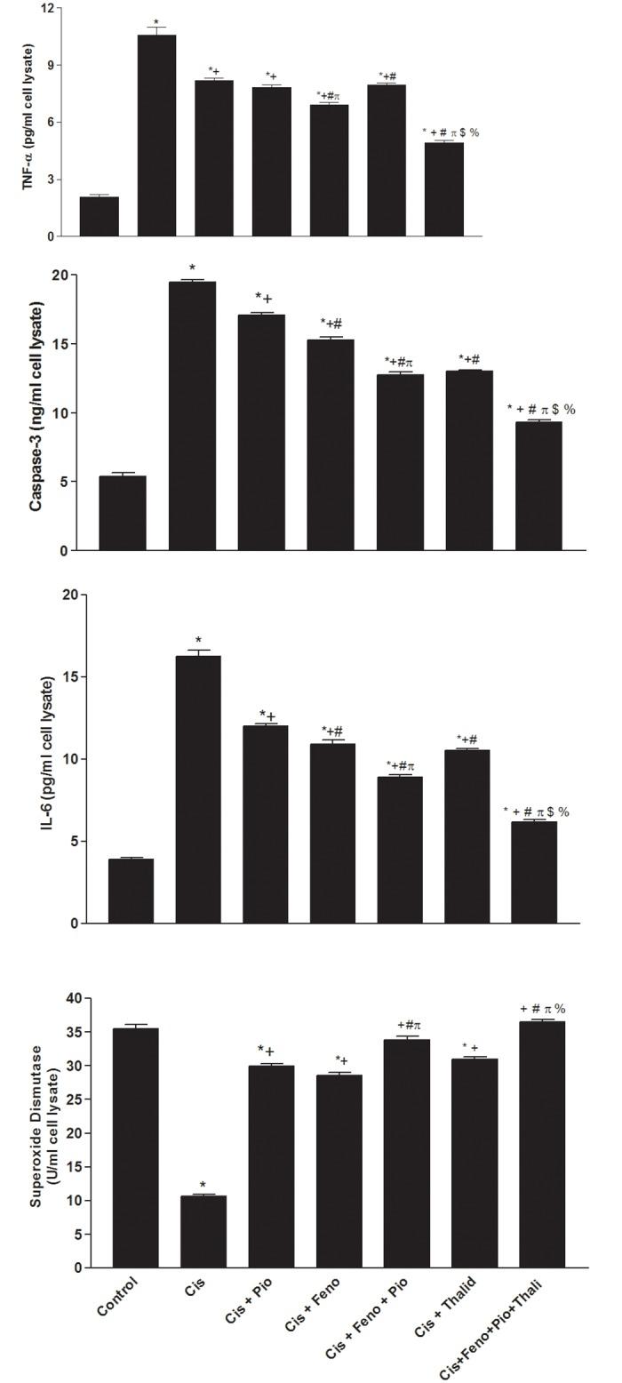
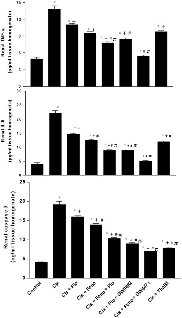
Nephrotoxicity is a major side effect for the antineoplastic drug cisplatin. Here, we employed pharmacological, biochemical, and molecular studies to investigate the role of peroxisome proliferator-activated receptors (PPARs) in cisplatin nephrotoxicity. Rats were treated with a single i.p. dose of cisplatin (5 mg/kg) alone or combined with pioglitazone (PPARγ agonist), fenofibrate (PPARα agonist), pioglitazone plus fenofibrate, or thalidomide (Tumor necrosis factor-α inhibitor; TNF-α). Cisplatin nephrotoxicity was evidenced by rises in renal indices of functional (blood urea nitrogen, BUN, and creatinine), inflammatory (TNF-α, interleukin 6, IL-6), oxidative (increased malondialdehyde, MDA, and decreased superoxide dismutase, SOD and nitric oxide metabolites, NOx), apoptotic (caspase 3), and histological (glomerular atrophy, acute tubular necrosis and vacuolation) profiles. Cisplatin effects were partly abolished upon concurrent exposure to pioglitazone, fenofibrate, or thalidomide; more renoprotection was observed in rats treated with pioglitazaone plus fenofibrate. Immunostaining showed that renal expressions of PPARα and PPARγ were reduced by cisplatin and restored to vehicle-treated values after simultaneous treatment with pioglitazone or fenofibrate. Fenofibrate or pioglitazone renoprotection remained unaltered after concurrent blockade of PPARα (GW6471) and PPARγ (GW9662), respectively. To complement the rat studies, we also report that in human embryonic kidney cells (HEK293 cells), increases caused by cisplatin in inflammatory, apoptotic, and oxidative biomarkers were (i) partly improved after exposure to pioglitazone, fenofibrate, or thalidomide, and (ii) completely disappeared in cells treated with a combination of all three drugs. These data establish that the combined use of pioglitazone and fenofibrate additively improved manifestations of cisplatin nephrotoxicity through perhaps GW6471/GW9662-insensitive mechanisms.

摘要

肾毒性是抗肿瘤药物顺铂的主要副作用。在此,我们采用药理学、生物化学和分子研究方法来探究过氧化物酶体增殖物激活受体(PPARs)在顺铂肾毒性中的作用。将大鼠单次腹腔注射顺铂(5 mg/kg),单独给药或联合吡格列酮(PPARγ激动剂)、非诺贝特(PPARα激动剂)、吡格列酮加非诺贝特或沙利度胺(肿瘤坏死因子-α抑制剂;TNF-α)。顺铂肾毒性通过以下指标升高得以证实:功能性指标(血尿素氮、BUN和肌酐)、炎症指标(TNF-α、白细胞介素6、IL-6)、氧化指标(丙二醛增加、MDA、超氧化物歧化酶减少、SOD以及一氧化氮代谢产物减少、NOx)、凋亡指标(半胱天冬酶3)以及组织学指标(肾小球萎缩、急性肾小管坏死和空泡形成)。同时给予吡格列酮、非诺贝特或沙利度胺后,顺铂的作用部分被消除;在同时给予吡格列酮和非诺贝特治疗的大鼠中观察到了更多的肾脏保护作用。免疫染色显示,顺铂降低了PPARα和PPARγ的肾脏表达,而在同时给予吡格列酮或非诺贝特治疗后,其表达恢复至溶剂处理组的水平。分别同时阻断PPARα(GW6471)和PPARγ(GW9662)后,非诺贝特或吡格列酮的肾脏保护作用未改变。为补充大鼠研究,我们还报告称,在人胚肾细胞(HEK293细胞)中,顺铂引起的炎症、凋亡和氧化生物标志物的增加:(i)在暴露于吡格列酮、非诺贝特或沙利度胺后部分得到改善,(ii)在同时用这三种药物处理的细胞中完全消失。这些数据表明,吡格列酮和非诺贝特联合使用可能通过GW6471/GW9662不敏感机制,相加性地改善了顺铂肾毒性的表现。

https://cdn.ncbi.nlm.nih.gov/pmc/blobs/6f90/4633146/7bf63d1176db/pone.0142303.g001.jpg

文献AI研究员

20分钟写一篇综述,助力文献阅读效率提升50倍。

立即体验

用中文搜PubMed

大模型驱动的PubMed中文搜索引擎

马上搜索

文档翻译

学术文献翻译模型,支持多种主流文档格式。

立即体验