Suppr超能文献

饮食的货币价值与城市成年人的饮食质量和营养充足状况相关,且因性别、种族和贫困状况而异。

Monetary Value of Diet Is Associated with Dietary Quality and Nutrient Adequacy among Urban Adults, Differentially by Sex, Race and Poverty Status.

作者信息

Beydoun May A, Fanelli-Kuczmarski Marie T, Allen Allyssa, Beydoun Hind A, Popkin Barry M, Evans Michele K, Zonderman Alan B

机构信息

Laboratory of Epidemiology and Population Sciences, National Institute on Aging, Intramural Research Program, NIA/NIH/IRP, Baltimore, Maryland, United States of America.

Department of Behavioral Health and Nutrition, University of Delaware, Newark, Delaware, United States of America.

出版信息

PLoS One. 2015 Nov 4;10(11):e0140905. doi: 10.1371/journal.pone.0140905. eCollection 2015.

Abstract

OBJECTIVE

The association between monetary value of the diet (MVD, $/day) with dietary quality was examined using a large sample of urban US adults, differentially by socio-demographic factors.

METHODS

This was a cross-sectional study of 2,111 participants, aged 30-64y, using data from the Healthy Aging in Neighborhoods of Diversity across the Life Span Study. Dietary quality indices included Healthy Eating Index-2010 (HEI-2010) and Mean Adequacy Ratio (MAR), (two 24-hr recalls). A national food price database was used to estimate MVD. Multiple linear/logistic regression analyses were conducted stratifying separately by sex, race and poverty status.

RESULTS

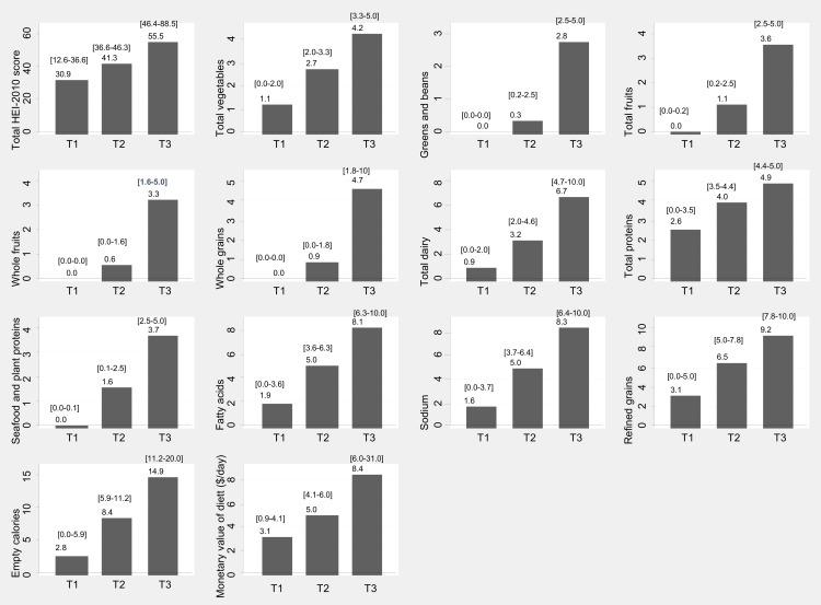
Women had significantly higher HEI-2010 scores than men (43.35 vs 41.57 out of 100, respectively), whereas MAR scores were higher for men (76.8 vs 69.9, out of 100), reflecting energy intake gender differentials. Importantly, a $3/day higher MVD (IQR: $3.70/d (Q1) to $6.62/d (Q4)) was associated with a 4.98±0.35 higher total HEI-2010 and a 3.88±0.37 higher MAR score, after energy-adjustment and control for key confounders. For HEI-2010 and MAR, stronger associations were observed among participants above poverty and among women, whilethe MVD vs. HEI-2010 association was additionally stronger among Whites. Sex and poverty status differentials were observed for many MAR and some HEI-2010 components.

CONCLUSIONS

Despite positive associations between measures of dietary quality and MVD, particularly above poverty and among women, approaching compliance with the Dietary Guidelines (80 or more for HEI-2010) requires a substantially higher MVD. Thus, nutrition education may further improve people's decision-making regarding food venues and dietary choices.

摘要

目的

使用大量美国城市成年人样本,按社会人口学因素进行区分,研究饮食货币价值(MVD,美元/天)与饮食质量之间的关联。

方法

这是一项对2111名年龄在30 - 64岁参与者的横断面研究,使用了来自“全生命周期不同社区健康老龄化研究”的数据。饮食质量指标包括健康饮食指数 - 2010(HEI - 2010)和平均充足率(MAR)(两次24小时回忆法)。使用国家食品价格数据库来估计MVD。分别按性别、种族和贫困状况进行分层,进行多元线性/逻辑回归分析。

结果

女性的HEI - 2010得分显著高于男性(分别为100分中的43.35分和41.57分),而男性的MAR得分更高(100分中的76.8分和69.9分),反映了能量摄入的性别差异。重要的是,在进行能量调整和控制关键混杂因素后,MVD每增加3美元/天(四分位间距:3.70美元/天(第一四分位数)至6.62美元/天(第四四分位数)),总HEI - 2010得分会提高4.98±0.35,MAR得分会提高3.88±0.37。对于HEI - 2010和MAR,在贫困线以上的参与者以及女性中观察到更强的关联,而MVD与HEI - 2010之间的关联在白人中更强。在许多MAR和一些HEI - 2010成分中观察到了性别和贫困状况差异。

结论

尽管饮食质量指标与MVD之间存在正相关,特别是在贫困线以上人群和女性中,但要接近符合饮食指南(HEI - 2010达到80分或更高)需要显著更高的MVD。因此,营养教育可能会进一步改善人们在食物场所和饮食选择方面的决策。

https://cdn.ncbi.nlm.nih.gov/pmc/blobs/1b67/4633204/dd960ad00edb/pone.0140905.g001.jpg

文献AI研究员

20分钟写一篇综述,助力文献阅读效率提升50倍。

立即体验

用中文搜PubMed

大模型驱动的PubMed中文搜索引擎

马上搜索

文档翻译

学术文献翻译模型,支持多种主流文档格式。

立即体验