Suppr超能文献

多变量预后模型外部验证的样本量考量:一项重抽样研究

Sample size considerations for the external validation of a multivariable prognostic model: a resampling study.

作者信息

Collins Gary S, Ogundimu Emmanuel O, Altman Douglas G

机构信息

Centre for Statistics in Medicine, Nuffield Department of Orthopaedics, Rheumatology and Musculoskeletal Sciences, Botnar Research Centre, University of Oxford, Windmill Road, Oxford, OX3 7LD, U.K.

出版信息

Stat Med. 2016 Jan 30;35(2):214-26. doi: 10.1002/sim.6787. Epub 2015 Nov 9.

Abstract

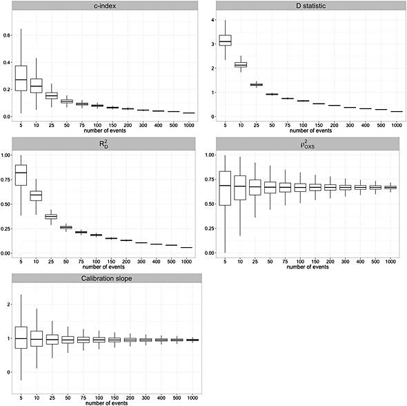
After developing a prognostic model, it is essential to evaluate the performance of the model in samples independent from those used to develop the model, which is often referred to as external validation. However, despite its importance, very little is known about the sample size requirements for conducting an external validation. Using a large real data set and resampling methods, we investigate the impact of sample size on the performance of six published prognostic models. Focussing on unbiased and precise estimation of performance measures (e.g. the c-index, D statistic and calibration), we provide guidance on sample size for investigators designing an external validation study. Our study suggests that externally validating a prognostic model requires a minimum of 100 events and ideally 200 (or more) events.

摘要

开发出预后模型后,在独立于用于开发该模型的样本中评估模型的性能至关重要,这通常被称为外部验证。然而,尽管其很重要,但对于进行外部验证所需的样本量要求却知之甚少。利用一个大型真实数据集和重采样方法,我们研究了样本量对六个已发表的预后模型性能的影响。聚焦于性能指标(如c指数、D统计量和校准)的无偏且精确估计,我们为设计外部验证研究的研究者提供了样本量方面的指导。我们的研究表明,对一个预后模型进行外部验证至少需要100个事件,理想情况下需要200个(或更多)事件。

https://cdn.ncbi.nlm.nih.gov/pmc/blobs/f02d/4738418/844137ef4c46/SIM-35-214-g001.jpg

文献AI研究员

20分钟写一篇综述,助力文献阅读效率提升50倍。

立即体验

用中文搜PubMed

大模型驱动的PubMed中文搜索引擎

马上搜索

文档翻译

学术文献翻译模型,支持多种主流文档格式。

立即体验