Suppr超能文献

青蒿素及其衍生物作为一种重新利用的抗癌药物:我们还需要做些什么?

Artemisinin and Its Derivatives as a Repurposing Anticancer Agent: What Else Do We Need to Do?

作者信息

Li Zhe, Li Qin, Wu Jun, Wang Manyuan, Yu Junxian

机构信息

Department of Pharmacy, Beijing Friendship Hospital, Capital Medical University, Beijing 100050, China.

Cancer Center, Beijing Friendship Hospital, Capital Medical University, Beijing 100050, China.

出版信息

Molecules. 2016 Oct 7;21(10):1331. doi: 10.3390/molecules21101331.

Abstract

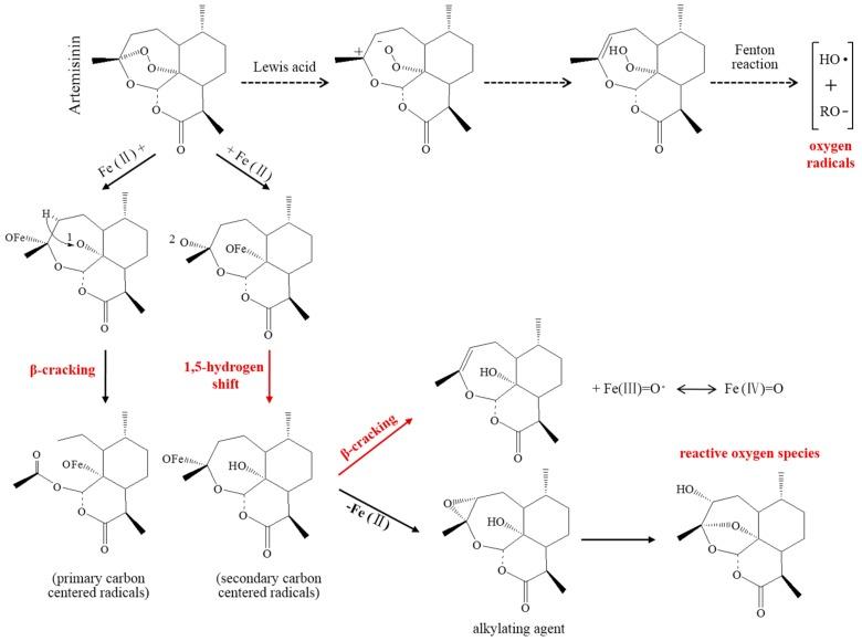
Preclinical investigation and clinical experience have provided evidence on the potential anticancer effect of artemisinin and its derivatives (ARTs) in the recent two decades. The major mechanisms of action of ARTs may be due to toxic-free radicals generated by an endoperoxide moiety, cell cycle arrest, induction of apoptosis, and inhibition of tumor angiogenesis. It is very promising that ARTs are expected to be a new class of antitumor drugs of wide spectrum due to their detailed information regarding efficacy and safety. For developing repurposed drugs, many other characteristics of ARTs should be studied, including through further investigations on possible new pathways of anticancer effects, exploration on efficient and specific drug delivery systems-especially crossing biological barriers, and obtaining sufficient data in clinical trials. The aim of this review is to highlight these achievements and propose the potential strategies to develop ARTs as a new class of cancer therapeutic agents.

摘要

在过去二十年中,临床前研究和临床经验为青蒿素及其衍生物(ARTs)的潜在抗癌作用提供了证据。ARTs的主要作用机制可能是由于其过氧化物部分产生的无毒自由基、细胞周期阻滞、诱导凋亡以及抑制肿瘤血管生成。由于其关于疗效和安全性的详细信息,ARTs有望成为一类新型的广谱抗肿瘤药物,这是非常有前景的。为了开发重新利用的药物,还应研究ARTs的许多其他特性,包括进一步研究抗癌作用的可能新途径、探索高效且特异性的药物递送系统——尤其是跨越生物屏障,并在临床试验中获得足够的数据。本综述的目的是突出这些成就,并提出将ARTs开发为新型癌症治疗药物的潜在策略。

https://cdn.ncbi.nlm.nih.gov/pmc/blobs/5a5b/6272993/24317193fc27/molecules-21-01331-g001.jpg

文献AI研究员

20分钟写一篇综述,助力文献阅读效率提升50倍。

立即体验

用中文搜PubMed

大模型驱动的PubMed中文搜索引擎

马上搜索

文档翻译

学术文献翻译模型,支持多种主流文档格式。

立即体验