Suppr超能文献

C反应蛋白和N末端脑钠肽前体作为慢性阻塞性肺疾病急性加重导致住院的生物标志物。

C-reactive protein and N-terminal prohormone brain natriuretic peptide as biomarkers in acute exacerbations of COPD leading to hospitalizations.

作者信息

Chen Yu-Wei Roy, Chen Virginia, Hollander Zsuzsanna, Leipsic Jonathon A, Hague Cameron J, DeMarco Mari L, FitzGerald J Mark, McManus Bruce M, Ng Raymond T, Sin Don D

机构信息

Centre for Heart Lung Innovation, James Hogg Research Centre, St. Paul's Hospital, Vancouver, British Columbia, Canada.

Institute for Heart Lung Health, St. Paul's Hospital, Vancouver, British Columbia, Canada.

出版信息

PLoS One. 2017 Mar 22;12(3):e0174063. doi: 10.1371/journal.pone.0174063. eCollection 2017.

Abstract

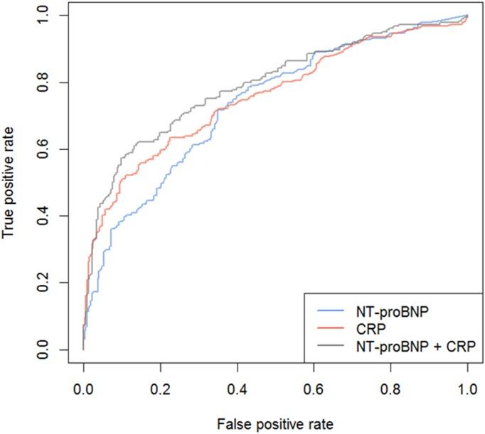
There are currently no accepted and validated blood tests available for diagnosing acute exacerbations of chronic obstructive pulmonary disease (AECOPD). In this study, we sought to determine the discriminatory power of blood C-reactive protein (CRP) and N-terminal prohormone brain natriuretic peptide (NT-proBNP) in the diagnosis of AECOPD requiring hospitalizations. The study cohort consisted of 468 patients recruited in the COPD Rapid Transition Program who were hospitalized with a primary diagnosis of AECOPD, and 110 stable COPD patients who served as controls. Logistic regression was used to build a classification model to separate AECOPD from convalescent or stable COPD patients. Performance was assessed using an independent validation set of patients who were not included in the discovery set. Serum CRP and whole blood NT-proBNP concentrations were highest at the time of hospitalization and progressively decreased over time. Of the 3 classification models, the one with both CRP and NT-proBNP had the highest AUC in discriminating AECOPD (cross-validated AUC of 0.80). These data were replicated in a validation cohort with an AUC of 0.88. A combination of CRP and NT-proBNP can reasonably discriminate AECOPD requiring hospitalization versus clinical stability and can be used to rapidly diagnose patients requiring hospitalization for AECOPD.

摘要

目前尚无公认且经过验证的血液检测方法可用于诊断慢性阻塞性肺疾病急性加重(AECOPD)。在本研究中,我们试图确定血液C反应蛋白(CRP)和N末端脑钠肽前体(NT-proBNP)在诊断需要住院治疗的AECOPD中的鉴别能力。研究队列包括468例在慢性阻塞性肺疾病快速转变项目中招募的以AECOPD为主要诊断而住院的患者,以及110例稳定期慢性阻塞性肺疾病患者作为对照。采用逻辑回归建立分类模型,以区分AECOPD患者与恢复期或稳定期慢性阻塞性肺疾病患者。使用未纳入发现集的患者独立验证集评估模型性能。血清CRP和全血NT-proBNP浓度在住院时最高,并随时间逐渐下降。在3个分类模型中,同时包含CRP和NT-proBNP的模型在鉴别AECOPD方面具有最高的曲线下面积(交叉验证的曲线下面积为0.80)。这些数据在验证队列中得到重复,曲线下面积为0.88。CRP和NT-proBNP联合使用能够合理地区分需要住院治疗的AECOPD与临床稳定状态,可用于快速诊断需要因AECOPD住院的患者。

https://cdn.ncbi.nlm.nih.gov/pmc/blobs/40a0/5362097/280f02770971/pone.0174063.g001.jpg

文献AI研究员

20分钟写一篇综述,助力文献阅读效率提升50倍。

立即体验

用中文搜PubMed

大模型驱动的PubMed中文搜索引擎

马上搜索

文档翻译

学术文献翻译模型,支持多种主流文档格式。

立即体验