Suppr超能文献

脱落酸是葡萄果实成熟起始的主要调节因子:对脱落酸信号网络的新见解

Abscisic Acid Is a Major Regulator of Grape Berry Ripening Onset: New Insights into ABA Signaling Network.

作者信息

Pilati Stefania, Bagagli Giorgia, Sonego Paolo, Moretto Marco, Brazzale Daniele, Castorina Giulia, Simoni Laura, Tonelli Chiara, Guella Graziano, Engelen Kristof, Galbiati Massimo, Moser Claudio

机构信息

Research and Innovation Centre, Fondazione Edmund MachSan Michele all'Adige, Italy.

Dipartimento di Bioscienze, Università degli Studi di MilanoMilan, Italy.

出版信息

Front Plant Sci. 2017 Jun 21;8:1093. doi: 10.3389/fpls.2017.01093. eCollection 2017.

Abstract

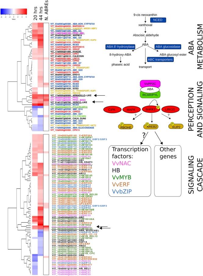
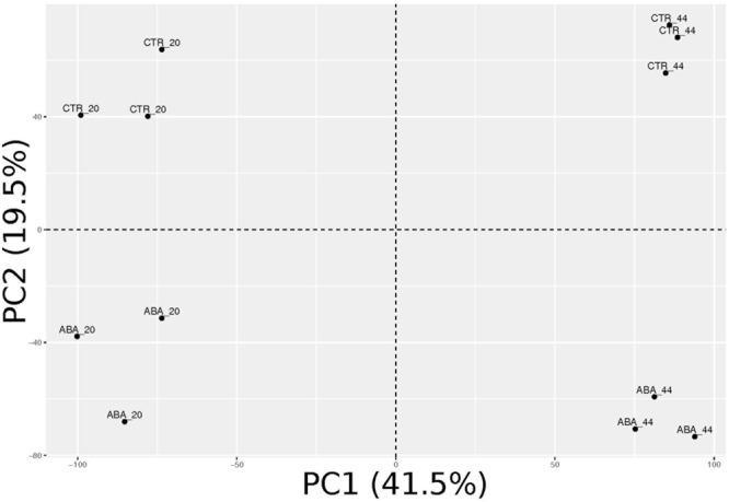
Grapevine is a world-wide cultivated economically relevant crop. The process of berry ripening is non-climacteric and does not rely on the sole ethylene signal. Abscisic acid (ABA) is recognized as an important hormone of ripening inception and color development in ripening berries. In order to elucidate the effect of this signal at the molecular level, pre-véraison berries were treated for 20 h with 0.2 mM ABA and berry skin transcriptional modulation was studied by RNA-seq after the treatment and 24 h later, in the absence of exogenous ABA. This study highlighted that a small amount of ABA triggered its own biosynthesis and had a transcriptome-wide effect (1893 modulated genes) characterized by the amplification of the transcriptional response over time. By comparing this dataset with the many studies on ripening collected within the grapevine transcriptomic compendium Vespucci, an extended overlap between ABA- and ripening modulated gene sets was observed (71% of the genes), underpinning the role of this hormone in the regulation of berry ripening. The signaling network of ABA, encompassing ABA metabolism, transport and signaling cascade, has been analyzed in detail and expanded based on knowledge from other species in order to provide an integrated molecular description of this pathway at berry ripening onset. Expression data analysis was combined with promoter analysis to identify candidate target genes of ABA responsive element binding protein 2 (VvABF2), a key upstream transcription factor of the ABA signaling cascade which is up-regulated at véraison and also by ABA treatments. Two transcription factors, VvMYB143 and VvNAC17, and two genes involved in protein degradation, Armadillo-like and Xerico-like genes, were selected for validation by VvABF2-mediated promoter -activation in tobacco. VvNAC17 and Armadillo-like promoters were induced by ABA via VvABF2, while VvMYB143 responded to ABA in a VvABF2-independent manner. This knowledge of the ABA cascade in berry skin contributes not only to the understanding of berry ripening regulation but might be useful to other areas of viticultural interest, such as bud dormancy regulation and drought stress tolerance.

摘要

葡萄是一种在全球范围内广泛种植且具有经济价值的作物。浆果成熟过程属于非跃变型,并不依赖单一的乙烯信号。脱落酸(ABA)被认为是成熟浆果中启动成熟和促进颜色发育的重要激素。为了在分子水平上阐明该信号的作用,在葡萄转色前,用0.2 mM ABA处理浆果20小时,并在处理后及24小时后(无外源ABA)通过RNA测序研究浆果表皮的转录调控。该研究表明,少量ABA会触发自身的生物合成,并产生全转录组效应(1893个受调控基因),其特征是转录反应随时间放大。通过将该数据集与葡萄转录组汇编Vespucci中收集的许多成熟相关研究进行比较,发现ABA调控基因集与成熟调控基因集之间存在广泛重叠(71%的基因),这支持了该激素在浆果成熟调控中的作用。基于其他物种的知识,对ABA的信号网络进行了详细分析和扩展,该网络包括ABA代谢、转运和信号级联反应,以便在浆果成熟开始时对该途径进行综合分子描述。将表达数据分析与启动子分析相结合,以鉴定ABA响应元件结合蛋白2(VvABF2)的候选靶基因,VvABF2是ABA信号级联反应的关键上游转录因子,在转色期以及ABA处理时会上调。选择了两个转录因子VvMYB143和VvNAC17,以及两个参与蛋白质降解的基因(犰狳样基因和Xerico样基因),通过VvABF2介导的烟草启动子激活进行验证。VvNAC17和犰狳样基因的启动子通过VvABF2被ABA诱导,而VvMYB143以不依赖VvABF2的方式对ABA作出反应。对浆果表皮中ABA级联反应的了解不仅有助于理解浆果成熟调控,而且可能对葡萄栽培的其他感兴趣领域有用,如芽休眠调控和干旱胁迫耐受性。

https://cdn.ncbi.nlm.nih.gov/pmc/blobs/0f10/5479058/c16b891195bd/fpls-08-01093-g001.jpg

文献AI研究员

20分钟写一篇综述,助力文献阅读效率提升50倍。

立即体验

用中文搜PubMed

大模型驱动的PubMed中文搜索引擎

马上搜索

文档翻译

学术文献翻译模型,支持多种主流文档格式。

立即体验