Suppr超能文献

分子力学泊松-玻尔兹曼表面积与绝对结合自由能计算性能的统计分析:以溴结构域为例的研究

Statistical Analysis on the Performance of Molecular Mechanics Poisson-Boltzmann Surface Area versus Absolute Binding Free Energy Calculations: Bromodomains as a Case Study.

作者信息

Aldeghi Matteo, Bodkin Michael J, Knapp Stefan, Biggin Philip C

机构信息

Structural Bioinformatics and Computational Biochemistry, Department of Biochemistry, University of Oxford , South Parks Road, Oxford OX1 3QU, United Kingdom.

Evotec (U.K.) Ltd. , 114 Innovation Drive, Milton Park, Abingdon OX14 4RZ, United Kingdom.

出版信息

J Chem Inf Model. 2017 Sep 25;57(9):2203-2221. doi: 10.1021/acs.jcim.7b00347. Epub 2017 Aug 24.

Abstract

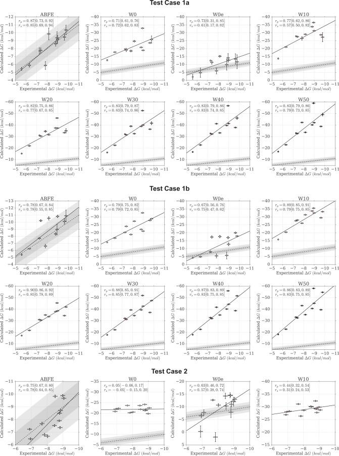
Binding free energy calculations that make use of alchemical pathways are becoming increasingly feasible thanks to advances in hardware and algorithms. Although relative binding free energy (RBFE) calculations are starting to find widespread use, absolute binding free energy (ABFE) calculations are still being explored mainly in academic settings due to the high computational requirements and still uncertain predictive value. However, in some drug design scenarios, RBFE calculations are not applicable and ABFE calculations could provide an alternative. Computationally cheaper end-point calculations in implicit solvent, such as molecular mechanics Poisson-Boltzmann surface area (MMPBSA) calculations, could too be used if one is primarily interested in a relative ranking of affinities. Here, we compare MMPBSA calculations to previously performed absolute alchemical free energy calculations in their ability to correlate with experimental binding free energies for three sets of bromodomain-inhibitor pairs. Different MMPBSA approaches have been considered, including a standard single-trajectory protocol, a protocol that includes a binding entropy estimate, and protocols that take into account the ligand hydration shell. Despite the improvements observed with the latter two MMPBSA approaches, ABFE calculations were found to be overall superior in obtaining correlation with experimental affinities for the test cases considered. A difference in weighted average Pearson ([Formula: see text]) and Spearman ([Formula: see text]) correlations of 0.25 and 0.31 was observed when using a standard single-trajectory MMPBSA setup ([Formula: see text] = 0.64 and [Formula: see text] = 0.66 for ABFE; [Formula: see text] = 0.39 and [Formula: see text] = 0.35 for MMPBSA). The best performing MMPBSA protocols returned weighted average Pearson and Spearman correlations that were about 0.1 inferior to ABFE calculations: [Formula: see text] = 0.55 and [Formula: see text] = 0.56 when including an entropy estimate, and [Formula: see text] = 0.53 and [Formula: see text] = 0.55 when including explicit water molecules. Overall, the study suggests that ABFE calculations are indeed the more accurate approach, yet there is also value in MMPBSA calculations considering the lower compute requirements, and if agreement to experimental affinities in absolute terms is not of interest. Moreover, for the specific protein-ligand systems considered in this study, we find that including an explicit ligand hydration shell or a binding entropy estimate in the MMPBSA calculations resulted in significant performance improvements at a negligible computational cost.

摘要

由于硬件和算法的进步,利用炼金术途径进行的结合自由能计算变得越来越可行。尽管相对结合自由能(RBFE)计算开始得到广泛应用,但由于计算要求高且预测价值仍不确定,绝对结合自由能(ABFE)计算仍主要在学术环境中进行探索。然而,在某些药物设计场景中,RBFE计算并不适用,而ABFE计算可以提供一种替代方案。如果主要关注亲和力的相对排名,也可以使用在隐式溶剂中计算成本较低的端点计算方法,例如分子力学泊松-玻尔兹曼表面积(MMPBSA)计算。在这里,我们将MMPBSA计算与之前进行的绝对炼金术自由能计算进行比较,以考察它们与三组溴结构域-抑制剂对的实验结合自由能的相关性。我们考虑了不同的MMPBSA方法,包括标准的单轨迹协议、包含结合熵估计的协议以及考虑配体水合壳的协议。尽管后两种MMPBSA方法有改进,但对于所考虑的测试案例,发现ABFE计算在获得与实验亲和力的相关性方面总体上更优越。使用标准的单轨迹MMPBSA设置时,加权平均皮尔逊([公式:见原文])和斯皮尔曼([公式:见原文])相关性的差异分别为0.25和0.31(ABFE的[公式:见原文]=0.64,[公式:见原文]=0.66;MMPBSA的[公式:见原文]=0.39,[公式:见原文]=0.35)。表现最佳的MMPBSA协议返回的加权平均皮尔逊和斯皮尔曼相关性比ABFE计算低约0.1:包含熵估计时,[公式:见原文]=0.55,[公式:见原文]=0.56;包含显式水分子时,[公式:见原文]=0.53,[公式:见原文]=0.55。总体而言,该研究表明ABFE计算确实是更准确的方法,但考虑到计算要求较低,如果对与实验亲和力的绝对一致性不感兴趣,MMPBSA计算也有价值。此外,对于本研究中考虑的特定蛋白质-配体系统,我们发现MMPBSA计算中包含显式配体水合壳或结合熵估计会以可忽略不计的计算成本带来显著的性能提升。

https://cdn.ncbi.nlm.nih.gov/pmc/blobs/6cc6/5615372/90abc3a97a98/ci-2017-003475_0001.jpg

文献AI研究员

20分钟写一篇综述,助力文献阅读效率提升50倍。

立即体验

用中文搜PubMed

大模型驱动的PubMed中文搜索引擎

马上搜索

文档翻译

学术文献翻译模型,支持多种主流文档格式。

立即体验