Suppr超能文献

人乳头瘤病毒与移植后皮肤鳞状细胞癌:一项多中心前瞻性队列研究。

Human papillomavirus and posttransplantation cutaneous squamous cell carcinoma: A multicenter, prospective cohort study.

机构信息

Department of Dermatology, Leiden University Medical Center, Leiden, The Netherlands.

Department of Medical Microbiology, Leiden University Medical Center, Leiden, The Netherlands.

出版信息

Am J Transplant. 2018 May;18(5):1220-1230. doi: 10.1111/ajt.14537. Epub 2017 Nov 22.

Abstract

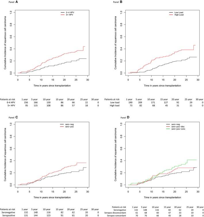
Organ transplant recipients (OTRs) have a 100-fold increased risk of cutaneous squamous cell carcinoma (cSCC). We prospectively evaluated the association between β genus human papillomaviruses (βPV) and keratinocyte carcinoma in OTRs. Two OTR cohorts without cSCC were assembled: cohort 1 was transplanted in 2003-2006 (n = 274) and cohort 2 was transplanted in 1986-2002 (n = 352). Participants were followed until death or cessation of follow-up in 2016. βPV infection was assessed in eyebrow hair by using polymerase chain reaction-based methods. βPV IgG seroresponses were determined with multiplex serology. A competing risk model with delayed entry was used to estimate cumulative incidence of histologically proven cSCC and the effect of βPV by using a multivariable Cox regression model. Results are reported as adjusted hazard ratios (HRs). OTRs with 5 or more different βPV types in eyebrow hair had 1.7 times the risk of cSCC vs OTRs with 0 to 4 different types (HR 1.7, 95% confidence interval 1.1-2.6). A similar risk was seen with high βPV loads (HR 1.8, 95% confidence interval 1.2-2.8). No significant associations were seen between serum antibodies and cSCC or between βPV and basal cell carcinoma. The diversity and load of βPV types in eyebrow hair are associated with cSCC risk in OTRs, providing evidence that βPV is associated with cSCC carcinogenesis and may present a target for future preventive strategies.

摘要

器官移植受者(OTR)患皮肤鳞状细胞癌(cSCC)的风险增加了 100 倍。我们前瞻性评估了β属人乳头瘤病毒(βPV)与 OTR 角质形成细胞癌之间的关联。我们组建了两个没有 cSCC 的 OTR 队列:队列 1 于 2003-2006 年移植(n=274),队列 2 于 1986-2002 年移植(n=352)。参与者随访至死亡或 2016 年随访结束。使用聚合酶链反应(PCR)方法检测眉毛中的 βPV 感染。使用多重血清学方法确定 βPV IgG 血清反应。采用延迟进入的竞争风险模型,使用多变量 Cox 回归模型估计组织学证实的 cSCC 的累积发病率和 βPV 的作用。结果以调整后的危险比(HR)报告。与眉毛中只有 0 到 4 种不同类型的 βPV 的 OTR 相比,有 5 种或更多种不同 βPV 类型的 OTR 患 cSCC 的风险增加了 1.7 倍(HR 1.7,95%置信区间 1.1-2.6)。高 βPV 负荷也存在类似的风险(HR 1.8,95%置信区间 1.2-2.8)。血清抗体与 cSCC 之间或 βPV 与基底细胞癌之间没有显著关联。眉毛中 βPV 类型的多样性和负荷与 OTR 中 cSCC 的风险相关,这表明 βPV 与 cSCC 的致癌作用有关,并且可能成为未来预防策略的目标。

https://cdn.ncbi.nlm.nih.gov/pmc/blobs/aff2/5947129/2c5f036d40c0/AJT-18-1220-g001.jpg

文献AI研究员

20分钟写一篇综述,助力文献阅读效率提升50倍。

立即体验

用中文搜PubMed

大模型驱动的PubMed中文搜索引擎

马上搜索

文档翻译

学术文献翻译模型,支持多种主流文档格式。

立即体验