Suppr超能文献

有复发和无复发乳腺癌患者之间外泌体微小RNA的差异表达

Differential expression of exosomal miRNAs between breast cancer patients with and without recurrence.

作者信息

Sueta Aiko, Yamamoto Yutaka, Tomiguchi Mai, Takeshita Takashi, Yamamoto-Ibusuki Mutsuko, Iwase Hirotaka

机构信息

Department of Breast and Endocrine Surgery, Kumamoto University Graduate School of Medical Sciences, Kumamoto 860-8556, Japan.

Department of Molecular-Targeting Therapy for Breast Cancer, Kumamoto University Hospital, Kumamoto 860-8556, Japan.

出版信息

Oncotarget. 2017 Jul 22;8(41):69934-69944. doi: 10.18632/oncotarget.19482. eCollection 2017 Sep 19.

Abstract

BACKGROUND

Exosomal microRNAs (miRNAs) are promising candidate biomarkers for diagnosis or prognosis for breast cancer. We investigated the prognostic role of exosomal miRNAs in serum samples derived from patients with breast cancer and compared miRNA expression between serum and tumor tissues.

METHODS

The miRNA profile derived from exosome between breast cancer patients with recurrence (n = 16) and without recurrence (n = 16) were compared by miRNA PCR array. Further, we examined the expression of miRNAs derived from tissues in the patients with breast cancer with (n = 35) and without recurrence (n = 39) by qRT-PCR.

RESULTS

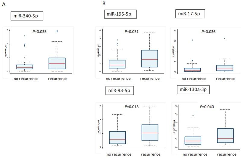
Of 384 miRNAs, three miRNAs (miR-338-3p, miR-340-5p, and miR-124-3p) were significantly upregulated and eight (miR-29b-3p, miR-20b-5p, miR-17-5p, miR-130a-3p, miR-18a-5p, miR-195-5p, miR-486-5p, and miR-93-5p) were significantly downregulated in the patients with recurrence. We evaluated the expression of the miRNAs in tumor tissues. The patients with recurrence had higher levels of miR-340 at their primary site as well as in the serum. In contrast, miR-195-5p, miR-17-5p, miR-93-5p, and miR-130a-3p, derived from tumor tissues that were downregulated in the serum from patients with recurrence, were higher in the patients with recurrence than in those with no recurrence. In logistic regression analysis, miR-340-5p, miR-17-5p, miR-130a-3p, and miR-93-5p were significantly associated with recurrence.

CONCLUSIONS

Several exosomal miRNAs may be useful biomarkers to predict breast cancer recurrence. We show the different expression patterns of miRNAs between tumor tissues and serum. These findings may suggest selective mechanism of release of exosomal miRNAs by cancer cells to regulate their progression.

摘要

背景

外泌体微小RNA(miRNA)是乳腺癌诊断或预后的有前景的候选生物标志物。我们研究了外泌体miRNA在乳腺癌患者血清样本中的预后作用,并比较了血清和肿瘤组织之间的miRNA表达。

方法

通过miRNA PCR阵列比较复发乳腺癌患者(n = 16)和未复发乳腺癌患者(n = 16)外泌体来源的miRNA谱。此外,我们通过qRT-PCR检测了有复发(n = 35)和无复发(n = 39)的乳腺癌患者组织来源的miRNA表达。

结果

在384种miRNA中,三种miRNA(miR-338-3p、miR-340-5p和miR-124-3p)在复发患者中显著上调,八种(miR-29b-3p、miR-20b-5p、miR-17-5p、miR-130a-3p、miR-18a-5p、miR-195-5p、miR-486-5p和miR-93-5p)在复发患者中显著下调。我们评估了肿瘤组织中miRNA的表达。复发患者原发部位及血清中miR-340水平较高。相反,来自肿瘤组织的miR-195-5p、miR-17-5p、miR-93-5p和miR-130a-3p在复发患者血清中下调,但在复发患者中高于无复发患者。在逻辑回归分析中,miR-340-5p、miR-17-5p、miR-130a-3p和miR-93-5p与复发显著相关。

结论

几种外泌体miRNA可能是预测乳腺癌复发的有用生物标志物。我们展示了肿瘤组织和血清之间miRNA的不同表达模式。这些发现可能提示癌细胞释放外泌体miRNA以调节其进展的选择性机制。

https://cdn.ncbi.nlm.nih.gov/pmc/blobs/fa5e/5642528/339f28ebbdd7/oncotarget-08-69934-g001.jpg

文献AI研究员

20分钟写一篇综述,助力文献阅读效率提升50倍。

立即体验

用中文搜PubMed

大模型驱动的PubMed中文搜索引擎

马上搜索

文档翻译

学术文献翻译模型,支持多种主流文档格式。

立即体验