Suppr超能文献

调整甘氨酸-丝氨酸连接子的灵活性以实现多结构域蛋白质的合理设计。

Tuning the Flexibility of Glycine-Serine Linkers To Allow Rational Design of Multidomain Proteins.

作者信息

van Rosmalen Martijn, Krom Mike, Merkx Maarten

机构信息

Laboratory of Chemical Biology and Institute for Complex Molecular Systems (ICMS), Department of Biomedical Engineering, Eindhoven University of Technology , P.O. Box 513, 5600 MB Eindhoven, The Netherlands.

出版信息

Biochemistry. 2017 Dec 19;56(50):6565-6574. doi: 10.1021/acs.biochem.7b00902. Epub 2017 Dec 7.

Abstract

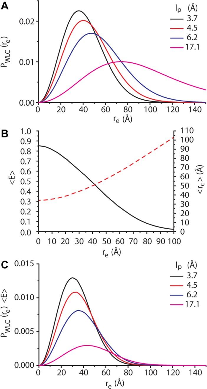
Flexible polypeptide linkers composed of glycine and serine are important components of engineered multidomain proteins. We have previously shown that the conformational properties of Gly-Gly-Ser repeat linkers can be quantitatively understood by comparing experimentally determined Förster resonance energy transfer (FRET) efficiencies of ECFP-linker-EYFP proteins to theoretical FRET efficiencies calculated using wormlike chain and Gaussian chain models. Here we extend this analysis to include linkers with different glycine contents. We determined the FRET efficiencies of ECFP-linker-EYFP proteins with linkers ranging in length from 25 to 73 amino acids and with glycine contents of 33.3% (GSSGSS), 16.7% (GSSSSSS), and 0% (SSSSSSS). The FRET efficiency decreased with an increasing linker length and was overall lower for linkers with less glycine. Modeling the linkers using the WLC model revealed that the experimentally observed FRET efficiencies were consistent with persistence lengths of 4.5, 4.8, and 6.2 Å for the GSSGSS, GSSSSS, and SSSSSS linkers, respectively. The observed increase in linker stiffness with reduced glycine content is much less pronounced than that predicted by a classical model developed by Flory and co-workers. We discuss possible reasons for this discrepancy as well as implications for using the stiffer linkers to control the effective concentrations of connected domains in engineered multidomain proteins.

摘要

由甘氨酸和丝氨酸组成的柔性多肽接头是工程化多结构域蛋白的重要组成部分。我们之前已经表明,通过比较实验测定的ECFP-接头-EYFP蛋白的Förster共振能量转移(FRET)效率与使用蠕虫状链模型和高斯链模型计算的理论FRET效率,可以定量理解甘氨酸-甘氨酸-丝氨酸重复接头的构象性质。在此,我们将该分析扩展到包括具有不同甘氨酸含量的接头。我们测定了长度在25至73个氨基酸之间、甘氨酸含量分别为33.3%(GSSGSS)、16.7%(GSSSSSS)和0%(SSSSSSS)的ECFP-接头-EYFP蛋白的FRET效率。FRET效率随接头长度增加而降低,并且对于甘氨酸含量较少的接头总体较低。使用WLC模型对接头进行建模表明,实验观察到的FRET效率分别与GSSGSS、GSSSSS和SSSSSS接头的持久长度4.5、4.8和6.2 Å一致。观察到的接头刚性随甘氨酸含量降低而增加的情况远不如Flory及其同事开发的经典模型所预测的那样明显。我们讨论了这种差异的可能原因以及使用更刚性的接头来控制工程化多结构域蛋白中连接结构域的有效浓度的意义。

https://cdn.ncbi.nlm.nih.gov/pmc/blobs/c581/6150656/30c3ddc67635/bi-2017-00902m_0001.jpg

文献AI研究员

20分钟写一篇综述,助力文献阅读效率提升50倍。

立即体验

用中文搜PubMed

大模型驱动的PubMed中文搜索引擎

马上搜索

文档翻译

学术文献翻译模型,支持多种主流文档格式。

立即体验