Suppr超能文献

与单肺移植不同,双肺移植可能对死亡率和闭塞性细支气管炎综合征具有保护作用。

Double lung, unlike single lung transplantation might provide a protective effect on mortality and bronchiolitis obliterans syndrome.

作者信息

Fakhro Mohammed, Broberg Ellen, Algotsson Lars, Hansson Lennart, Koul Bansi, Gustafsson Ronny, Wierup Per, Ingemansson Richard, Lindstedt Sandra

机构信息

Department of Cardiothoracic Surgery, Skåne University Hospital, Lund University, Lund, Sweden.

Department of Thoracic Intensive Care and Anesthesia, Skåne University Hospital, Lund University, Lund, Sweden.

出版信息

J Cardiothorac Surg. 2017 Nov 25;12(1):100. doi: 10.1186/s13019-017-0666-5.

Abstract

BACKGROUND

Survival after lung transplantation (LTx) is often limited by bronchiolitis obliterans syndrome (BOS).

METHOD

Survey of 278 recipients who underwent LTx. The endpoint used was BOS (BOS grade ≥ 2), death or Re-lung transplantation (Re-LTx) assessed by competing risk regression analyses.

RESULTS

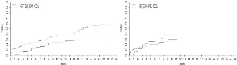
The incidence of BOS grade ≥ 2 among double LTx (DLTx) recipients was 16 ± 3% at 5 years, 30 ± 4% at 10 years, and 37 ± 5% at 20 years, compared to single LTx (SLTx) recipients whose corresponding incidence of BOS grade ≥ 2 was 11 ± 3%, 20 ± 4%, and 24 ± 5% at 5, 10, and 20 years, respectively (p > 0. 05). The incidence of BOS grade ≥ 2 by major indications ranked in descending order: other, PF, CF, COPD, PH and AAT1 (p < 0. 05). The mortality rate by major indication ranked in descending order: COPD, PH, AAT1, PF, Other and CF (p < 0. 05).

CONCLUSION

No differences were seen in the incidence of BOS grade ≥ 2 regarding type of transplant, however, DLTx recipients showed a better chance of survival despite developing BOS compared to SLTx recipients. The highest incidence of BOS was seen among CF, PF, COPD, PH, and AAT1 recipients in descending order, however, CF and PF recipients showed a better chance of survival despite developing BOS compared to COPD, PH, and AAT1 recipients.

摘要

背景

肺移植(LTx)后的生存常常受到闭塞性细支气管炎综合征(BOS)的限制。

方法

对278例接受肺移植的受者进行调查。所使用的终点指标为BOS(BOS分级≥2级)、死亡或再次肺移植(Re-LTx),通过竞争风险回归分析进行评估。

结果

双肺移植(DLTx)受者中BOS≥2级的发生率在5年时为16±3%,10年时为30±4%,20年时为37±5%;相比之下,单肺移植(SLTx)受者中BOS≥2级的相应发生率在5年、10年和20年时分别为11±3%、20±4%和24±5%(p>0.05)。按主要适应证划分,BOS≥2级的发生率从高到低依次为:其他、特发性肺纤维化(PF), 囊性纤维化(CF)、慢性阻塞性肺疾病(COPD)、肺动脉高压(PH)和α1抗胰蛋白酶缺乏症(AAT1)(p<0.05)。按主要适应证划分的死亡率从高到低依次为:COPD、PH、AAT1、PF、其他和CF(p<0.05)。

结论

就移植类型而言,BOS≥2级的发生率未见差异,然而,与SLTx受者相比,DLTx受者尽管发生了BOS,但生存机会更佳。BOS发生率最高的是CF、PF、COPD、PH和AAT1受者,顺序依次递减,然而,与COPD、PH和AAT1受者相比,CF和PF受者尽管发生了BOS,但生存机会更佳。

https://cdn.ncbi.nlm.nih.gov/pmc/blobs/363f/5702105/c8ae6bb5bcdb/13019_2017_666_Fig1_HTML.jpg

文献AI研究员

20分钟写一篇综述,助力文献阅读效率提升50倍。

立即体验

用中文搜PubMed

大模型驱动的PubMed中文搜索引擎

马上搜索

文档翻译

学术文献翻译模型,支持多种主流文档格式。

立即体验