Suppr超能文献

循环 miRNA 作为青少年特发性脊柱侧凸的诊断生物标志物。

Circulating miRNAs as diagnostic biomarkers for adolescent idiopathic scoliosis.

机构信息

Centro de Investigación Biomédica en Red de Enfermedades Raras (CIBERER), Valencia, Spain.

Instituto de Investigación Sanitaria INCLIVA, Avenida de Menéndez y Pelayo, 4, 46010, Valencia, Spain.

出版信息

Sci Rep. 2018 Feb 8;8(1):2646. doi: 10.1038/s41598-018-21146-x.

Abstract

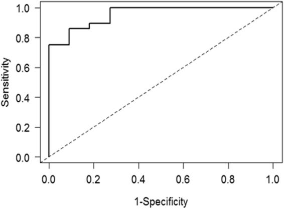
The aetiology of adolescent idiopathic scoliosis (AIS) has been linked to many factors, such as asymmetric growth, neuromuscular condition, bone strength and genetic background. Recently, epigenetic factors have been proposed as contributors of AIS physiopathology, but information about the molecular mechanisms and pathways involved is scarce. Regarding epigenetic factors, microRNAs (miRNAs) are molecules that contribute to gene expression modulation by regulating important cellular pathways. We herein used Next-Generation Sequencing to discover a series of circulating miRNAs detected in the blood samples of AIS patients, which yielded a unique miRNA biomarker signature that diagnoses AIS with high sensitivity and specificity. We propose that these miRNAs participate in the epigenetic control of signalling pathways by regulating osteoblast and osteoclast differentiation, thus modulating the genetic background of AIS patients. Our study yielded two relevant results: 1) evidence for the deregulated miRNAs that participate in osteoblast/osteoclast differentiation mechanisms in AIS; 2) this miRNA-signature can be potentially used as a clinical tool for molecular AIS diagnosis. Using miRNAs as biomarkers for AIS diagnostics is especially relevant since miRNAs can serve for early diagnoses and for evaluating the positive effects of applied therapies to therefore reduce the need of high-risk surgical interventions.

摘要

青少年特发性脊柱侧凸(AIS)的病因与许多因素有关,例如不对称生长、神经肌肉状况、骨强度和遗传背景。最近,表观遗传因素被认为是 AIS 病理生理学的促成因素,但关于涉及的分子机制和途径的信息很少。关于表观遗传因素,微小 RNA(miRNA)是通过调节重要的细胞途径来促进基因表达调控的分子。我们在此使用下一代测序技术在 AIS 患者的血液样本中发现了一系列循环 miRNA,产生了一种独特的 miRNA 生物标志物特征,可高度敏感和特异性地诊断 AIS。我们提出这些 miRNA 通过调节成骨细胞和破骨细胞分化参与信号通路的表观遗传控制,从而调节 AIS 患者的遗传背景。我们的研究产生了两个相关结果:1)参与 AIS 中成骨细胞/破骨细胞分化机制的失调 miRNA 的证据;2)该 miRNA 特征可潜在用作 AIS 分子诊断的临床工具。使用 miRNA 作为 AIS 诊断的生物标志物尤为重要,因为 miRNA 可用于早期诊断和评估应用疗法的积极效果,从而减少对高风险手术干预的需求。

https://cdn.ncbi.nlm.nih.gov/pmc/blobs/d2c7/5805715/fb62f5b7e0f4/41598_2018_21146_Fig1_HTML.jpg

文献AI研究员

20分钟写一篇综述,助力文献阅读效率提升50倍。

立即体验

用中文搜PubMed

大模型驱动的PubMed中文搜索引擎

马上搜索

文档翻译

学术文献翻译模型,支持多种主流文档格式。

立即体验