Suppr超能文献

经 Illumina HumanMethylationEPIC BeadArray 检测的全血生物样本参考去卷积的优化文库。

An optimized library for reference-based deconvolution of whole-blood biospecimens assayed using the Illumina HumanMethylationEPIC BeadArray.

机构信息

Department of Epidemiology, Geisel School of Medicine, Dartmouth College, Lebanon, NH, USA.

Department of Biostatistics, University of Kansas Medical Center, Kansas City, KS, USA.

出版信息

Genome Biol. 2018 May 29;19(1):64. doi: 10.1186/s13059-018-1448-7.

Abstract

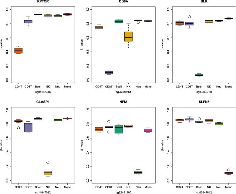
Genome-wide methylation arrays are powerful tools for assessing cell composition of complex mixtures. We compare three approaches to select reference libraries for deconvoluting neutrophil, monocyte, B-lymphocyte, natural killer, and CD4+ and CD8+ T-cell fractions based on blood-derived DNA methylation signatures assayed using the Illumina HumanMethylationEPIC array. The IDOL algorithm identifies a library of 450 CpGs, resulting in an average R = 99.2 across cell types when applied to EPIC methylation data collected on artificial mixtures constructed from the above cell types. Of the 450 CpGs, 69% are unique to EPIC. This library has the potential to reduce unintended technical differences across array platforms.

摘要

全基因组甲基化芯片是评估复杂混合物细胞组成的有力工具。我们比较了三种方法,基于使用 Illumina HumanMethylationEPIC 芯片检测到的血液衍生 DNA 甲基化特征,选择参考文库来解卷积中性粒细胞、单核细胞、B 淋巴细胞、自然杀伤细胞以及 CD4+和 CD8+T 细胞亚群。IDOL 算法确定了一个包含 450 个 CpG 的文库,当应用于由上述细胞类型构建的人工混合物的 EPIC 甲基化数据时,细胞类型的平均 R 值为 99.2。在 450 个 CpG 中,有 69%是 EPIC 特有的。该文库有可能减少不同 array 平台之间的非预期技术差异。

https://cdn.ncbi.nlm.nih.gov/pmc/blobs/45f7/5975716/c3a5dc5b75f6/13059_2018_1448_Fig1_HTML.jpg

文献AI研究员

20分钟写一篇综述,助力文献阅读效率提升50倍。

立即体验

用中文搜PubMed

大模型驱动的PubMed中文搜索引擎

马上搜索

文档翻译

学术文献翻译模型,支持多种主流文档格式。

立即体验