Suppr超能文献

近端小管中钙转运和调节的模型。

A model of calcium transport and regulation in the proximal tubule.

机构信息

Department of Biomedical Engineering, Boston University , Boston, Massachusetts.

Department of Pharmacology and Toxicology, University of Lausanne, and Service of Nephrology, Lausanne University Hospital , Lausanne , Switzerland.

出版信息

Am J Physiol Renal Physiol. 2018 Oct 1;315(4):F942-F953. doi: 10.1152/ajprenal.00129.2018. Epub 2018 May 30.

Abstract

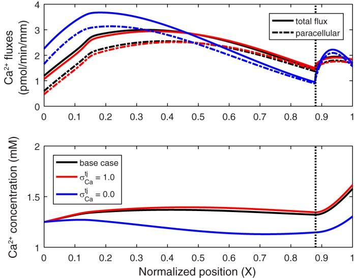
The objective of this study was to examine theoretically how Ca reabsorption in the proximal tubule (PT) is modulated by Na and water fluxes, parathyroid hormone (PTH), Na-glucose cotransporter (SGLT2) inhibitors, and acetazolamide. We expanded a previously published mathematical model of water and solute transport in the rat PT (Layton AT, Vallon V, Edwards A. Am J Physiol Renal Physiol 308: F1343-F1357, 2015) that did not include Ca. Our results indicate that Ca reabsorption in the PT is primarily driven by the transepithelial Ca concentration gradient that stems from water reabsorption, which is itself coupled to Na reabsorption. Simulated variations in permeability or transporter activity elicit opposite changes in paracellular and transcellular Ca fluxes, whereas a simulated decrease in filtration rate lowers both fluxes. The model predicts that PTH-mediated inhibition of the apical Na/H exchanger NHE3 reduces Na and Ca transport to a similar extent. It also suggests that acetazolamide- and SGLT2 inhibitor-induced calciuria at least partly stems from reduced Ca reabsorption in the PT. In addition, backleak of phosphate (PO) across tight junctions is predicted to reduce net PO reabsorption by ~20% under normal conditions. When transcellular PO transport is substantially reduced by PTH, paracellular PO flux is reversed and contributes significantly to PO reabsorption. Furthermore, PTH is predicted to exert an indirect impact on PO reabsorption via its inhibitory action on NHE3. This model thus provides greater insight into the mechanisms that modulate Ca and PO reabsorption in the PT.

摘要

本研究旨在从理论上探讨近端小管(PT)中钙的重吸收如何受钠和水通量、甲状旁腺激素(PTH)、钠-葡萄糖协同转运蛋白(SGLT2)抑制剂和乙酰唑胺的调节。我们扩展了之前发表的关于大鼠 PT 中水和溶质转运的数学模型(Layton AT, Vallon V, Edwards A. Am J Physiol Renal Physiol 308: F1343-F1357, 2015),该模型不包括钙。我们的结果表明,PT 中的钙重吸收主要由源自水重吸收的跨上皮钙浓度梯度驱动,而水重吸收本身与钠重吸收偶联。渗透性或转运体活性的模拟变化会引起细胞旁和细胞内钙通量的相反变化,而模拟滤过率降低会降低这两种通量。该模型预测,PTH 介导的顶端 Na/H 交换体 NHE3 抑制会降低钠和钙的转运,程度相似。它还表明,乙酰唑胺和 SGLT2 抑制剂诱导的钙尿至少部分源于 PT 中钙重吸收的减少。此外,在正常情况下,紧密连接处磷酸盐(PO)的反向渗漏预计会使 PO 的净重吸收减少约 20%。当 PTH 显著降低细胞内 PO 转运时,细胞旁 PO 通量被逆转并对 PO 重吸收有显著贡献。此外,PTH 预计通过其对 NHE3 的抑制作用对 PO 重吸收产生间接影响。因此,该模型提供了对调节 PT 中钙和 PO 重吸收的机制的更深入了解。

https://cdn.ncbi.nlm.nih.gov/pmc/blobs/09bd/6230728/336f86186a27/zh20071885510001.jpg

文献AI研究员

20分钟写一篇综述,助力文献阅读效率提升50倍。

立即体验

用中文搜PubMed

大模型驱动的PubMed中文搜索引擎

马上搜索

文档翻译

学术文献翻译模型,支持多种主流文档格式。

立即体验