Suppr超能文献

PD-L1 表达和 CD8+T 细胞浸润预测晚期胃癌的预后良好。

PD-L1 Expression and CD8 T Cell Infiltration Predict a Favorable Prognosis in Advanced Gastric Cancer.

机构信息

Department of Gastrointestinal Surgery, Renji Hospital, School of Medicine, Shanghai Jiao Tong University, Shanghai 200127, China.

State Key Laboratory of Oncogenes and Related Genes, Shanghai Cancer Institute, Renji Hospital, School of Medicine, Shanghai Jiao Tong University, Shanghai 200240, China.

出版信息

J Immunol Res. 2018 May 29;2018:4180517. doi: 10.1155/2018/4180517. eCollection 2018.

Abstract

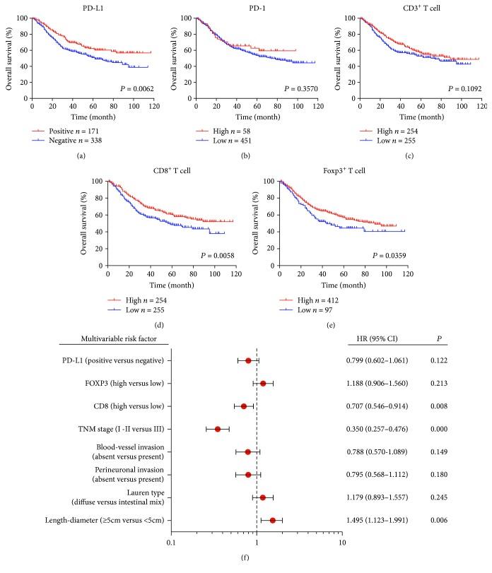
Advanced gastric cancer (AGC) has high morbidity and mortality in East Asia, and it is urgent to explore new treatments to improve patient prognosis. Programmed death-1 (PD-1)/programmed death-ligand 1 (PD-L1) inhibitors have exhibited remarkable activity in clinical trials and were approved by the FDA for clinical therapy in several types of tumors. Here, we evaluated PD-L1 expression and T cell infiltration in AGC. Positive tumor PD-L1 expression was detected in 171 AGCs (33.60%) out of 509 AGCs. PD-L1 expression was positively correlated with CD8 T cell infiltration. Then, PD-L1 and CD8A mRNA expression was analyzed using gastric cancer data from the TCGA database, confirming a positive correlation. Patient survival was assessed according to PD-L1 status and the T cell infiltration density. PD-L1 expression and a high density of CD8 T cells in AGCs were associated with improved prognosis, whereas no significant difference was noted between PD-1 and CD3 expression. In contrast, a high density of FOXP3 T cells in AGCs indicated a poor prognosis. Multivariate Cox regression analysis revealed that CD8 T cell density acts as an independent predictor of overall survival (OS) in AGC patients. Taken together, this study further highlights targets for immune checkpoint-based therapy in AGC.

摘要

晚期胃癌(AGC)在东亚地区具有较高的发病率和死亡率,因此迫切需要探索新的治疗方法来改善患者的预后。程序性死亡受体-1(PD-1)/程序性死亡配体 1(PD-L1)抑制剂在临床试验中表现出显著的活性,并已被 FDA 批准用于多种肿瘤的临床治疗。在这里,我们评估了 AGC 中的 PD-L1 表达和 T 细胞浸润。在 509 例 AGC 中,有 171 例(33.60%)检测到肿瘤 PD-L1 阳性表达。PD-L1 表达与 CD8 T 细胞浸润呈正相关。然后,我们使用 TCGA 数据库中的胃癌数据分析了 PD-L1 和 CD8A mRNA 的表达,证实了它们之间存在正相关。根据 PD-L1 状态和 T 细胞浸润密度评估患者的生存情况。AGC 中 PD-L1 表达和 CD8 T 细胞的高密度与改善的预后相关,而 PD-1 和 CD3 的表达则无显著差异。相比之下,AGC 中 FOXP3 T 细胞的高密度则预示着预后不良。多因素 Cox 回归分析显示,CD8 T 细胞密度是 AGC 患者总生存期(OS)的独立预测因子。综上所述,本研究进一步强调了免疫检查点治疗在 AGC 中的靶点。

https://cdn.ncbi.nlm.nih.gov/pmc/blobs/70a9/5996418/a7bda9a280a3/JIR2018-4180517.001.jpg

文献AI研究员

20分钟写一篇综述,助力文献阅读效率提升50倍。

立即体验

用中文搜PubMed

大模型驱动的PubMed中文搜索引擎

马上搜索

文档翻译

学术文献翻译模型,支持多种主流文档格式。

立即体验