Suppr超能文献

指导基团在金属催化 C-H 官能化化学中的应用综述。

A comprehensive overview of directing groups applied in metal-catalysed C-H functionalisation chemistry.

机构信息

Organic Synthesis (ORSY), Department of Chemistry, University of Antwerp, Groenenborgerlaan 171, 2020 Antwerp, Belgium.

出版信息

Chem Soc Rev. 2018 Aug 28;47(17):6603-6743. doi: 10.1039/c8cs00201k.

Abstract

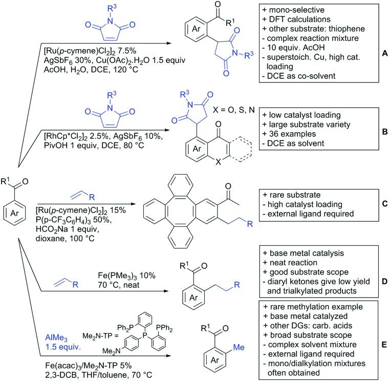
The present review is devoted to summarizing the recent advances (2015-2017) in the field of metal-catalysed group-directed C-H functionalisation. In order to clearly showcase the molecular diversity that can now be accessed by means of directed C-H functionalisation, the whole is organized following the directing groups installed on a substrate. Its aim is to be a comprehensive reference work, where a specific directing group can be easily found, together with the transformations which have been carried out with it. Hence, the primary format of this review is schemes accompanied with a concise explanatory text, in which the directing groups are ordered in sections according to their chemical structure. The schemes feature typical substrates used, the products obtained as well as the required reaction conditions. Importantly, each example is commented on with respect to the most important positive features and drawbacks, on aspects such as selectivity, substrate scope, reaction conditions, directing group removal, and greenness. The targeted readership are both experts in the field of C-H functionalisation chemistry (to provide a comprehensive overview of the progress made in the last years) and, even more so, all organic chemists who want to introduce the C-H functionalisation way of thinking for a design of straightforward, efficient and step-economic synthetic routes towards molecules of interest to them. Accordingly, this review should be of particular interest also for scientists from industrial R&D sector. Hence, the overall goal of this review is to promote the application of C-H functionalisation reactions outside the research groups dedicated to method development and establishing it as a valuable reaction archetype in contemporary R&D, comparable to the role cross-coupling reactions play to date.

摘要

本文综述了 2015 年至 2017 年间金属催化的导向 C-H 官能团化领域的最新进展。为了清晰地展示通过导向 C-H 官能团化现在可以获得的分子多样性,本文按照在底物上安装的导向基团进行组织。其目的是成为一部全面的参考著作,其中可以轻松找到特定的导向基团以及与之相关的转化。因此,本综述的主要格式是方案,并附有简洁的说明文字,其中根据其化学结构将导向基团按节排列。方案中展示了典型的底物、获得的产物以及所需的反应条件。重要的是,每个示例都根据最重要的积极特征和缺点进行了评论,例如选择性、底物范围、反应条件、导向基团去除和绿色性。目标读者是 C-H 官能团化化学领域的专家(提供过去几年取得的进展的全面概述),更重要的是,所有希望将 C-H 官能团化思维方式应用于设计直接、高效和经济的合成途径以获得他们感兴趣的分子的有机化学家。因此,该综述也应该特别引起工业研发部门科学家的兴趣。因此,本综述的总体目标是促进 C-H 官能团化反应在专门从事方法开发的研究小组之外的应用,并将其确立为当代研发中有价值的反应范例,类似于交叉偶联反应迄今为止所扮演的角色。

https://cdn.ncbi.nlm.nih.gov/pmc/blobs/5b03/6113863/f479cf2ef30a/c8cs00201k-f1.jpg

文献AI研究员

20分钟写一篇综述,助力文献阅读效率提升50倍。

立即体验

用中文搜PubMed

大模型驱动的PubMed中文搜索引擎

马上搜索

文档翻译

学术文献翻译模型,支持多种主流文档格式。

立即体验