Suppr超能文献

一种用于快速检测鱼类样本中己烯雌酚的侧向流动免疫层析试纸条检测法。

A lateral flow immunochromatographic strip test for rapid detection of hexoestrol in fish samples.

作者信息

Yang Xingdong, Sun Zhongke, Tian Fengshou, Jia Guochao, Yang Jifei, Hu Xiaofei

机构信息

Institute of Food and Drug Inspection, Zhoukou Normal University, Zhoukou 466001, People's Republic of China.

Key Laboratory of Animal Immunology of the Ministry of Agriculture, Henan Provincial Key Laboratory of Animal Immunology, Henan Academy of Agricultural Sciences, Zhengzhou 450002, People's Republic of China.

出版信息

R Soc Open Sci. 2018 Aug 29;5(8):180504. doi: 10.1098/rsos.180504. eCollection 2018 Aug.

Abstract

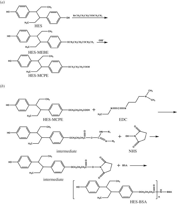
A lateral flow immunochromatographic strip test was developed for rapid and sensitive on-site detection of hexoestrol (HES) residues in fish samples with colloidal gold labelling of the anti-HES monoclonal antibody. The strip is composed of a sample pad, a conjugate reagent pad, an absorbent pad and a test membrane containing a control line and a test line. The sensitivity (half inhibitory concentration, IC) of the strip in the detection of fish extract samples was confirmed to be 1.86 µg kg, and the limit of detection value was 0.62 µg kg. For intra-assay and inter-assay reproducibility, recoveries of HES-spiked samples ranged from 86.3% to 92.3% and 85.8% to 93.4%, coefficients of variation were 2.91-4.64% and 4.24-5.17%, respectively. High-performance liquid chromatography was employed to confirm the performance of the strip. The strip test takes less than 10 min, and thus provides a repaid method for on-site detection of HES residues.

摘要

开发了一种侧向流动免疫色谱试纸条检测法,用于快速、灵敏地现场检测鱼样本中的己烯雌酚(HES)残留,该方法采用抗HES单克隆抗体的胶体金标记。试纸条由样品垫、结合物试剂垫、吸水垫和含有控制线和测试线的测试膜组成。经确认,试纸条检测鱼提取物样本的灵敏度(半抑制浓度,IC)为1.86 µg/kg,检测限值为0.62 µg/kg。对于批内和批间重复性,加标HES样本的回收率在86.3%至92.3%和85.8%至93.4%之间,变异系数分别为2.91 - 4.64%和4.24 - 5.17%。采用高效液相色谱法对试纸条性能进行了确认。试纸条检测耗时不到10分钟,因此为现场检测HES残留提供了一种快速方法。

https://cdn.ncbi.nlm.nih.gov/pmc/blobs/9e2c/6124078/294039e06c02/rsos180504-g1.jpg

文献AI研究员

20分钟写一篇综述,助力文献阅读效率提升50倍。

立即体验

用中文搜PubMed

大模型驱动的PubMed中文搜索引擎

马上搜索

文档翻译

学术文献翻译模型,支持多种主流文档格式。

立即体验