Suppr超能文献

肝硬化患者肺炎:与死亡率相关的危险因素和预后模型的预测价值。

Pneumonia in patients with cirrhosis: risk factors associated with mortality and predictive value of prognostic models.

机构信息

State Key Laboratory for Diagnosis and Treatment of Infectious, Collaborative Innovation Center for Diagnosis and Treatment of Infectious Disease, The First Affiliated Hospital, Zhejiang University School of Medicine, 79 Qingchun Road, Hangzhou, Zhejiang, 310003, People's Republic of China.

Department of Hematology, Taizhou Hospital of Zhejiang Province, Linhai, Taizhou, China.

出版信息

Respir Res. 2018 Dec 4;19(1):242. doi: 10.1186/s12931-018-0934-5.

Abstract

BACKGROUND

Cirrhosis always goes with profound immunity compromise, and makes those patients easily be the target of pneumonia. Cirrhotic patients with pneumonia have a dramatically increased mortality. To recognize the risk factors of mortality and to optimize stratification are critical for improving survival rate.

METHODS

Two hundred and three cirrhotic patients with pneumonia at a tertiary care hospital were included in this retrospective study. Demographical, clinical and laboratory parameters, severity models and prognosis were recorded. Multivariate Cox regression analysis was used to identify independent predictors of 30-day and 90-day mortality. Area under receiver operating characteristics curves (AUROC) was used to compare the predictive value of different prognostic scoring systems.

RESULTS

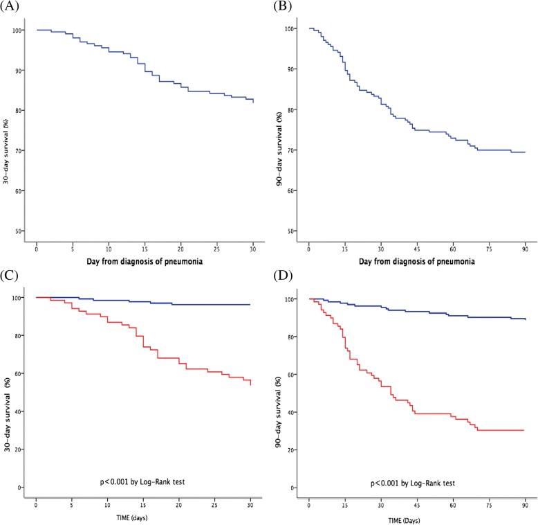
Patients with nosocomial acquired or community acquired pneumonia indicated similar prognosis after 30- and 90-day follow-up. However, patients triggered acute-on-chronic liver failure (ACLF) highly increased mortality (46.4% vs 4.5% for 30-day, 69.6% vs 11.2% for 90-day). Age, inappropriate empirical antibiotic therapy (HR: 2.326 p = 0.018 for 30-day and HR: 3.126 p < 0.001 for 90-day), bacteremia (HR: 3.037 p = 0.002 for 30-day and HR: 2.651 p = 0.001 for 90-day), white blood cell count (WBC) (HR: 1.452 p < 0.001 for 30-day and HR: 1.551 p < 0.001 for 90-day) and total bilirubin (HR: 1.059 p = 0.002 for 90-day) were independent factors for mortality in current study. Chronic liver failure-sequential organ failure assessment (CLIF-SOFA) displayed highest AUROC (0.89 and 0.90, 95% CI: 0.83-0.95 and 0.85-0.95 for 30-day and 90-day respectively) in current study.

CONCLUSIONS

This study found age, bacteremia, WBC, total bilirubin and inappropriate empirical antibiotic therapy were independently associated with increased mortality. Pneumonia triggered ACLF remarkably increased mortality. CLIF-SOFA was more accurate in predicting mortality than other five prognostic models (model for end-stage liver disease (MELD), MELD-Na, quick sequential organ failure assessment (qSOFA), pneumonia severity index (PSI), Child-Turcotte-Pugh (CTP) score).

摘要

背景

肝硬化患者常伴有严重的免疫功能受损,使他们容易成为肺炎的目标。患有肺炎的肝硬化患者死亡率显著增加。识别死亡率的危险因素并进行优化分层对于提高生存率至关重要。

方法

本回顾性研究纳入了一家三级医院的 203 例肝硬化合并肺炎患者。记录了人口统计学、临床和实验室参数、严重程度模型和预后。采用多变量 Cox 回归分析确定 30 天和 90 天死亡率的独立预测因素。使用受试者工作特征曲线下面积(AUROC)比较不同预后评分系统的预测价值。

结果

在 30 天和 90 天随访中,医院获得性和社区获得性肺炎患者的预后相似。然而,触发慢加急性肝衰竭(ACLF)的患者死亡率显著升高(30 天分别为 46.4%和 4.5%,90 天分别为 69.6%和 11.2%)。年龄、经验性抗生素治疗不当(30 天的 HR:2.326,p=0.018;90 天的 HR:3.126,p<0.001)、菌血症(30 天的 HR:3.037,p=0.002;90 天的 HR:2.651,p=0.001)、白细胞计数(WBC)(30 天的 HR:1.452,p<0.001;90 天的 HR:1.551,p<0.001)和总胆红素(30 天的 HR:1.059,p=0.002;90 天的 HR:1.059,p=0.002)是当前研究中死亡率的独立因素。慢性肝脏衰竭序贯器官衰竭评估(CLIF-SOFA)在当前研究中显示出最高的 AUROC(0.89 和 0.90,95%CI:0.83-0.95 和 0.85-0.95 分别为 30 天和 90 天)。

结论

本研究发现年龄、菌血症、WBC、总胆红素和经验性抗生素治疗不当与死亡率增加独立相关。肺炎触发 ACLF 显著增加死亡率。CLIF-SOFA 比其他五个预后模型(终末期肝病模型(MELD)、MELD-Na、快速序贯器官衰竭评估(qSOFA)、肺炎严重指数(PSI)、Child-Turcotte-Pugh(CTP)评分)更准确地预测死亡率。

https://cdn.ncbi.nlm.nih.gov/pmc/blobs/bf0f/6280505/54af1f2c0e9b/12931_2018_934_Fig1_HTML.jpg

文献AI研究员

20分钟写一篇综述,助力文献阅读效率提升50倍。

立即体验

用中文搜PubMed

大模型驱动的PubMed中文搜索引擎

马上搜索

文档翻译

学术文献翻译模型,支持多种主流文档格式。

立即体验