Suppr超能文献

斋月禁食对健康男性体成分和代谢综合征的影响。

The Effect of Ramadan Fasting on Body Composition and Metabolic Syndrome in Apparently Healthy Men.

机构信息

1 Department of Exercise Physiology, College of Sport Sciences & Physical Activity, King Saud University, Riyadh, Saudi Arabia.

2 School of Physical Education and Sport Training, Shanghai University of Sport, Shanghai, China.

出版信息

Am J Mens Health. 2019 Jan-Feb;13(1):1557988318816925. doi: 10.1177/1557988318816925. Epub 2018 Dec 12.

Abstract

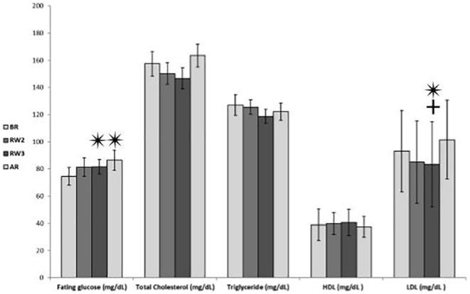
There are few studies investigating the role of Ramadan fasting on body composition and the characteristics of metabolic syndrome, especially in hot environments. The main aim of the study was to investigate the effect of Ramadan fasting on body composition and the characteristics of metabolic syndrome in apparently healthy men. In a randomized design, 44 college students aged 27.6 ± 5.8 years were selected to participate in the present study. Lifestyle was assessed by a developed questionnaire, body composition was measured using a bioelectrical impedance analyzer, and blood parameters were evaluated by taking a vein blood sample (10 ml) after fasting 10 hr. All measurements were taken 2-3 days before the month of Ramadan, at the end of Week 2 and end of Week 3, and 6 weeks later. The results identified no significant changes in any of the body composition parameters before, during, or after the month of Ramadan. The only significant change in blood parameters was recorded as a positive reduction in low-density lipoprotein (LDL) during the month of Ramadan, compared to before and after Ramadan. No major changes in metabolic syndrome factors were seen except in fasting blood glucose and systolic blood pressure as both factors were slightly but significantly elevated during the month of Ramadan and even after Ramadan, though both of them were within normal levels. This study concludes that Ramadan fasting could be one of the factors that reduce LDL. More studies are needed to clarify the role of Ramadan fasting on different populations such as obese and diabetic patients.

摘要

关于斋月禁食对人体成分和代谢综合征特征的影响,特别是在炎热环境下的相关研究甚少。本研究的主要目的是探究斋月禁食对健康男性人体成分和代谢综合征特征的影响。采用随机设计,选取 44 名年龄为 27.6±5.8 岁的大学生参与本研究。通过一份自制问卷评估他们的生活方式,使用生物电阻抗分析仪测量人体成分,抽取空腹 10 小时后的静脉血样(10ml)评估血液参数。所有测量均在斋月前 2-3 天、斋月第 2 周末、斋月第 3 周末和 6 周后进行。结果表明,在斋月期间、前后,人体成分的任何参数均未发生显著变化。血液参数的唯一显著变化是在斋月期间,与斋月前后相比,低密度脂蛋白(LDL)呈阳性降低。除空腹血糖和收缩压外,代谢综合征的各项因素均未见明显变化,这两个因素在斋月期间略有升高,甚至在斋月后也升高,但均处于正常水平。本研究得出结论,斋月禁食可能是降低 LDL 的因素之一。需要更多的研究来阐明斋月禁食对不同人群(如肥胖和糖尿病患者)的影响。

https://cdn.ncbi.nlm.nih.gov/pmc/blobs/8e9d/6775544/9f5c44f34910/10.1177_1557988318816925-fig1.jpg

文献AI研究员

20分钟写一篇综述,助力文献阅读效率提升50倍。

立即体验

用中文搜PubMed

大模型驱动的PubMed中文搜索引擎

马上搜索

文档翻译

学术文献翻译模型,支持多种主流文档格式。

立即体验