Suppr超能文献

超重男性成年人肠道准备后肠道微生物组的变化。

Gut microbiome changes in overweight male adults following bowel preparation.

机构信息

Institute of Bioinformatics and Systems Biology, National Chiao Tung University, Hsinchu, 300, Taiwan.

Division of Hepatology and Gastroenterology, Department of Internal Medicine, MacKay Memorial Hospital, Hsinchu, 300, Taiwan.

出版信息

BMC Genomics. 2018 Dec 31;19(Suppl 10):904. doi: 10.1186/s12864-018-5285-6.

Abstract

BACKGROUND

Human gut microbiome has an essential role in human health and disease. Although the major dominant microbiota within individuals have been reported, the change of gut microbiome caused by external factors, such as antibiotic use and bowel cleansing, remains unclear. We conducted this study to investigate the change of gut microbiome in overweight male adults after bowel preparation, where none of the participants had been diagnosed with any systemic diseases.

METHODS

A total of 20 overweight, male Taiwanese adults were recruited, and all participants were omnivorous. The participants provided fecal samples and blood samples at three time points: prior to bowel preparation, 7 days after colonoscopy, and 28 days after colonoscopy. The microbiota composition in fecal samples was analyzed using 16S ribosome RNA gene amplicon sequencing.

RESULTS

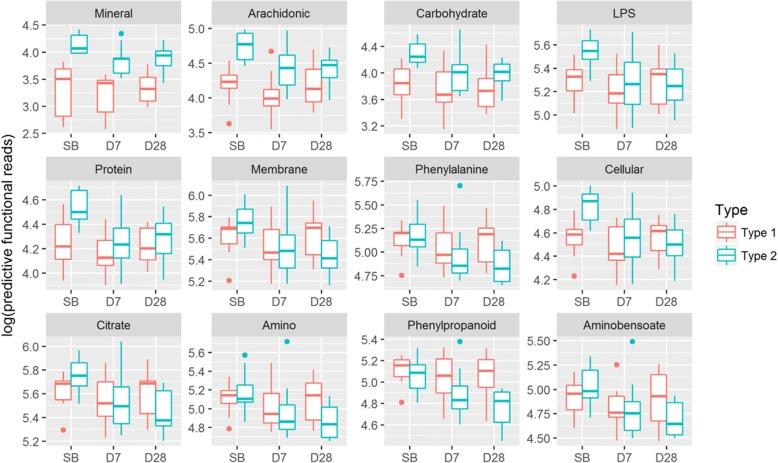
Our results demonstrated that the relative abundance of the most dominant bacteria hardly changed from prior to bowel preparation to 28 days after colonoscopy. Using the ratio of Prevotella to the sum of Prevotella and Bacteroides in the fecal samples at baseline, the participants were separated into two groups. The fecal samples of the Type 1 group was Bacteroides-dominant, and that of the Type 2 group was Prevotella-dominant with a noticeable presence Bacteroides. Bulleidia appears more in the Type 1 fecal samples, while Akkermensia appears more in the Type 2 fecal samples. Of each type, the gut microbial diversity differed slightly among the three collection times. Additionally, the Type 2 fecal microbiota was temporarily susceptible to bowel cleansing. Predictive functional analysis of microbial community reveals that their activities for the mineral absorption metabolism and arachidonic acid metabolism differed significantly between the two types. Depending on their fecal type, the variance of triglycerides and C-reactive protein also differed between the two types of participants.

CONCLUSIONS

Depending upon the fecal type, the microbial diversity and the predictive functional modules of microbial community differed significantly after bowel preparation. In addition, blood biochemical markers presented somewhat associated with fecal type. Therefore, our results might provide some insights as to how knowledge of the microbial community could be used to promote health through personalized clinical treatment.

摘要

背景

人类肠道微生物组在人类健康和疾病中起着至关重要的作用。尽管已经报道了个体内部的主要优势菌群,但由于抗生素使用和肠道清洁等外部因素引起的肠道微生物组变化仍不清楚。我们进行这项研究是为了调查超重男性成年人在肠道准备后肠道微生物组的变化,所有参与者均未被诊断患有任何系统性疾病。

方法

共招募了 20 名超重的台湾男性成年人,所有参与者均为杂食者。参与者在三个时间点提供粪便样本和血液样本:肠道准备前、结肠镜检查后 7 天和结肠镜检查后 28 天。使用 16S 核糖体 RNA 基因扩增子测序分析粪便样本中的微生物群落组成。

结果

我们的结果表明,从肠道准备前到结肠镜检查后 28 天,最主要细菌的相对丰度几乎没有变化。使用基线粪便样本中普雷沃氏菌与普雷沃氏菌和拟杆菌总和的比值,将参与者分为两组。第 1 组的粪便样本以拟杆菌为主,第 2 组的粪便样本以普雷沃氏菌为主,同时存在大量拟杆菌。布氏杆菌在第 1 组粪便样本中更为常见,阿克曼氏菌在第 2 组粪便样本中更为常见。每种类群的肠道微生物多样性在三个采集时间点略有不同。此外,第 2 组粪便微生物组对肠道清洁暂时敏感。微生物群落的预测功能分析表明,两种类型之间的矿物质吸收代谢和花生四烯酸代谢的微生物群落活性有显著差异。根据粪便类型的不同,两种类型的参与者之间的甘油三酯和 C 反应蛋白的方差也不同。

结论

根据粪便类型,肠道准备后微生物多样性和微生物群落的预测功能模块存在显著差异。此外,血液生化标志物与粪便类型也有一定的关联。因此,我们的研究结果可能为如何利用微生物群落知识通过个性化临床治疗促进健康提供一些思路。

https://cdn.ncbi.nlm.nih.gov/pmc/blobs/ec14/6311932/f06446e53770/12864_2018_5285_Fig1_HTML.jpg

文献AI研究员

20分钟写一篇综述,助力文献阅读效率提升50倍。

立即体验

用中文搜PubMed

大模型驱动的PubMed中文搜索引擎

马上搜索

文档翻译

学术文献翻译模型,支持多种主流文档格式。

立即体验