Suppr超能文献

沿人体肾单位的上皮溶质和水转运的计算模型。

A computational model of epithelial solute and water transport along a human nephron.

机构信息

Department of Mathematics, Duke University, Durham, North Carolina, United States of America.

Department of Biomedical Engineering, Duke University, Durham, North Carolina, United States of America.

出版信息

PLoS Comput Biol. 2019 Feb 25;15(2):e1006108. doi: 10.1371/journal.pcbi.1006108. eCollection 2019 Feb.

Abstract

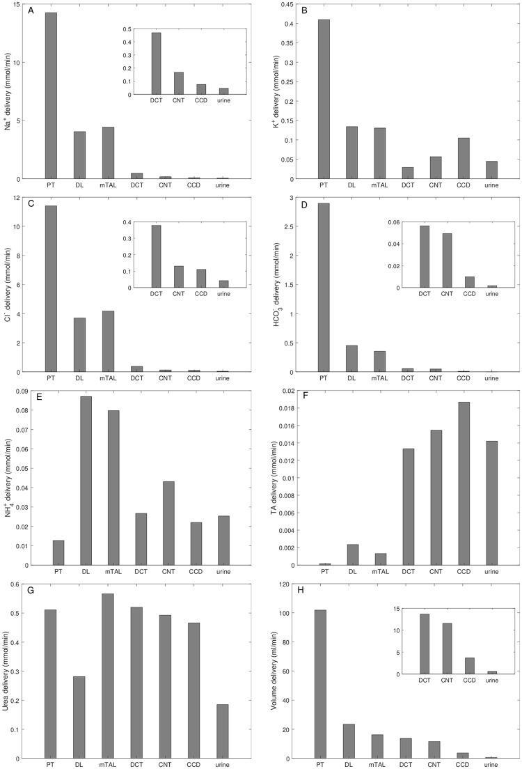
We have developed the first computational model of solute and water transport from Bowman space to the papillary tip of the nephron of a human kidney. The nephron is represented as a tubule lined by a layer of epithelial cells, with apical and basolateral transporters that vary according to cell type. The model is formulated for steady state, and consists of a large system of coupled ordinary differential equations and algebraic equations. Model solution describes luminal fluid flow, hydrostatic pressure, luminal fluid solute concentrations, cytosolic solute concentrations, epithelial membrane potential, and transcellular and paracellular fluxes. We found that if we assume that the transporter density and permeabilities are taken to be the same between the human and rat nephrons (with the exception of a glucose transporter along the proximal tubule and the H+-pump along the collecting duct), the model yields segmental deliveries and urinary excretion of volume and key solutes that are consistent with human data. The model predicted that the human nephron exhibits glomerulotubular balance, such that proximal tubular Na+ reabsorption varies proportionally to the single-nephron glomerular filtration rate. To simulate the action of a novel diabetic treatment, we inhibited the Na+-glucose cotransporter 2 (SGLT2) along the proximal convoluted tubule. Simulation results predicted that the segment's Na+ reabsorption decreased significantly, resulting in natriuresis and osmotic diuresis.

摘要

我们已经开发出了第一个人类肾脏肾单位从Bowman 腔到乳头尖端的溶质和水转运的计算模型。肾单位被表示为由一层上皮细胞排列的管状结构,其顶端和基底外侧转运体根据细胞类型而变化。该模型是针对稳态制定的,由一个大型耦合常微分方程和代数方程组组成。模型解描述了管腔液流、静水压力、管腔液溶质浓度、细胞质溶质浓度、上皮膜电位以及跨细胞和旁细胞通量。我们发现,如果我们假设转运体密度和渗透性在人类和大鼠肾单位之间相同(除了沿近端小管的葡萄糖转运体和沿集合管的 H+-泵),那么模型产生的是与人类数据一致的分段输送和尿量以及关键溶质的排泄。该模型预测人类肾单位表现出肾小球肾小管平衡,使得近端肾小管 Na+重吸收与单肾单位肾小球滤过率成比例变化。为了模拟一种新型糖尿病治疗的作用,我们抑制了近端曲管中的 Na+-葡萄糖协同转运体 2(SGLT2)。模拟结果预测该段 Na+重吸收显著减少,导致利钠和渗透利尿。

https://cdn.ncbi.nlm.nih.gov/pmc/blobs/bcf3/6405173/f4b35bc248a5/pcbi.1006108.g001.jpg

文献AI研究员

20分钟写一篇综述,助力文献阅读效率提升50倍。

立即体验

用中文搜PubMed

大模型驱动的PubMed中文搜索引擎

马上搜索

文档翻译

学术文献翻译模型,支持多种主流文档格式。

立即体验