Suppr超能文献

疼痛轨迹可预测关节炎影响日常生活的残疾情况。

Trajectories of pain predict disabilities affecting daily living in arthritis.

机构信息

School of Psychology, University of Nottingham, UK.

Arthritis UK Pain Centre, School of Medicine, University of Nottingham, UK.

出版信息

Br J Health Psychol. 2019 Sep;24(3):485-496. doi: 10.1111/bjhp.12364. Epub 2019 Apr 7.

Abstract

PURPOSE

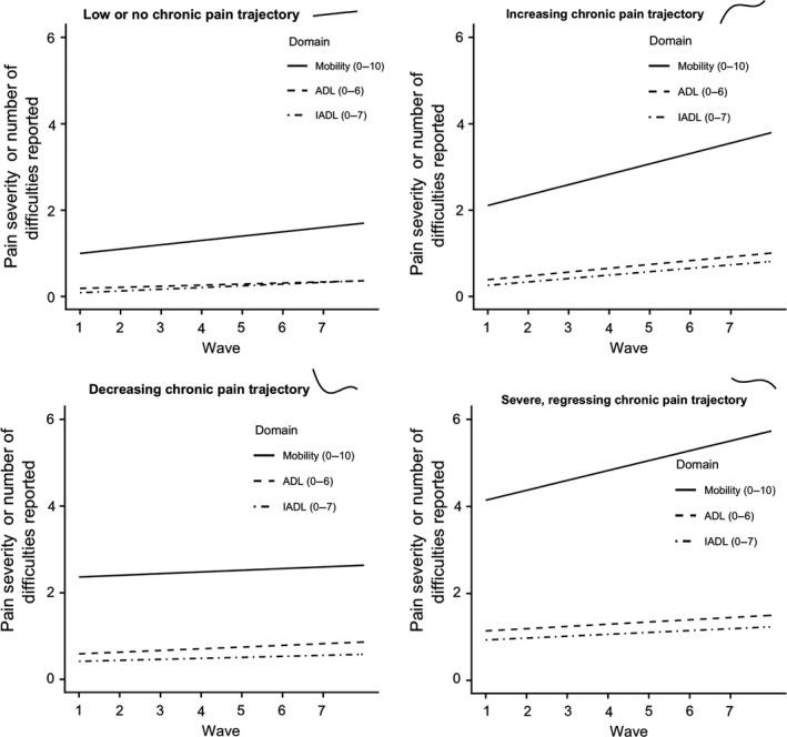
To examine the interplay between pain and disability in arthritis when adjusting for patient heterogeneity in pain progression. There is consistent evidence to suggest that people experience osteoarthritis heterogeneously, with subgroups of people having different trajectories of pain. However, at present it is unclear how these pain trajectories are related to functional disability. We ask the question: Do levels of disability track changes in pain across different pain trajectories?

METHODS

Secondary analysis of a subset (n = 889) from a cohort of older English adults, representative of the general population (the English Longitudinal Study of Ageing). The relationship between pain and functional disability was compared in three domains of disability: mobility, activities of daily living (ADL) and instrumental ADL. These represent increasingly complex forms of self-care required for independent living. Data analysis compared the heterogeneous analysis of pain (different trajectories) and disability compared to treating pain as a simpler homogenous construct.

RESULTS

On a population level, pain was significantly positively correlated with increased disability in all three domains, and the relationship remained stable over time. However, when heterogeneity was examined respondents whose pain improved did not show a corresponding improvement in disability in two domains (ADL and mobility).

CONCLUSIONS

These findings highlight how, for some people, alleviating pain, the main symptom of arthritis, might not prevent the persistence or progression of disability. Even when pain improves, further interventions that improve disability are likely to be required. Statement of contribution What is already known on this subject? Pain and functional limitation in daily living are common symptoms of arthritis. Arthritis pain is heterogeneous - there are trajectories of people whose pain gets better or worse. However, to date no study has looked at the relationship between trajectories of arthritis pain and functional disability outside of the minority of people with rheumatoid arthritis. What does this study add? Treating pain as heterogeneous explained disability better than treating pain as a single entity. Respondents in a trajectory of worsening pain reported functional disability in two domains (mobility and activities of daily living) also got worse over time. People in a trajectory of decreasing pain over time did not experience a reduction in disability, despite pain being the most common reason for why people limit their daily functioning. This suggests further intervention is required for people with arthritis, even when the most visible symptoms have been alleviated.

摘要

目的

当调整关节炎患者疼痛进展的异质性时,研究疼痛与残疾之间的相互作用。有一致的证据表明,人们患有骨关节炎的异质性,其中一部分人具有不同的疼痛轨迹。然而,目前尚不清楚这些疼痛轨迹与功能障碍有何关系。我们提出这样一个问题:在不同的疼痛轨迹中,残疾水平是否与疼痛的变化相关?

方法

对一组英国老年人队列(代表一般人群的英国老龄化纵向研究)的一个子集(n=889)进行二次分析。在三个残疾领域(移动性、日常生活活动(ADL)和工具性 ADL)比较疼痛与功能障碍之间的关系。这些领域代表了独立生活所需的越来越复杂的自我护理形式。数据分析比较了疼痛的异质性分析(不同轨迹)和残疾,与将疼痛视为更简单的同质结构相比。

结果

在人群水平上,所有三个领域的疼痛与残疾的增加均呈显著正相关,且这种关系随时间保持稳定。然而,当检查异质性时,疼痛改善的受访者在两个领域(ADL 和移动性)中残疾并没有相应改善。

结论

这些发现强调了对于某些人来说,缓解关节炎的主要症状疼痛可能并不能阻止残疾的持续或进展。即使疼痛得到改善,可能还需要进一步改善残疾的干预措施。

本研究的贡献是什么?

疼痛和日常活动中的功能限制是关节炎的常见症状。关节炎疼痛具有异质性——有些人的疼痛会变好或变差。然而,迄今为止,尚无研究在类风湿关节炎以外的少数人群之外,观察关节炎疼痛轨迹与功能障碍之间的关系。

本研究有何新发现?

将疼痛视为异质体比将疼痛视为单一实体能更好地解释残疾。疼痛恶化轨迹的受访者报告称,两个领域(移动性和日常生活活动)的功能障碍也随时间恶化。随着时间的推移,疼痛逐渐减轻的轨迹的人并没有经历残疾的减少,尽管疼痛是人们限制日常功能的最常见原因。这表明,即使最明显的症状已经缓解,关节炎患者仍需要进一步的干预措施。

https://cdn.ncbi.nlm.nih.gov/pmc/blobs/09cf/6916370/64ec271b803f/BJHP-24-485-g001.jpg

文献AI研究员

20分钟写一篇综述,助力文献阅读效率提升50倍。

立即体验

用中文搜PubMed

大模型驱动的PubMed中文搜索引擎

马上搜索

文档翻译

学术文献翻译模型,支持多种主流文档格式。

立即体验