Suppr超能文献

冠状动脉钙化作为晚期慢性肾脏病心血管死亡的预测指标:一项前瞻性长期随访研究

Coronary calcification as a predictor of cardiovascular mortality in advanced chronic kidney disease: a prospective long-term follow-up study.

作者信息

Cano-Megías Marta, Guisado-Vasco Pablo, Bouarich Hanane, de Arriba-de la Fuente Gabriel, de Sequera-Ortiz Patricia, Álvarez-Sanz Concepción, Rodríguez-Puyol Diego

机构信息

'Principe de Asturias' University Hospital, Ctra Alcalá-Meco s/n. Alcalá de Henares, 28805, Madrid, Spain.

European University, Internal Medicine, Ruber Juan Bravo Hospital, Juan Bravo St 39-49, ZP 28006, Madrid, Spain.

出版信息

BMC Nephrol. 2019 May 28;20(1):188. doi: 10.1186/s12882-019-1367-1.

Abstract

BACKGROUND

Patients with advanced chronic kidney disease (CKD) exhibit higher prevalence of coronary artery calcification (CaC) than general population. CaC has been proposed as a risk factor for mortality in end-stage CKD, but most studies in the field are based on short-term follow-up.

METHODS

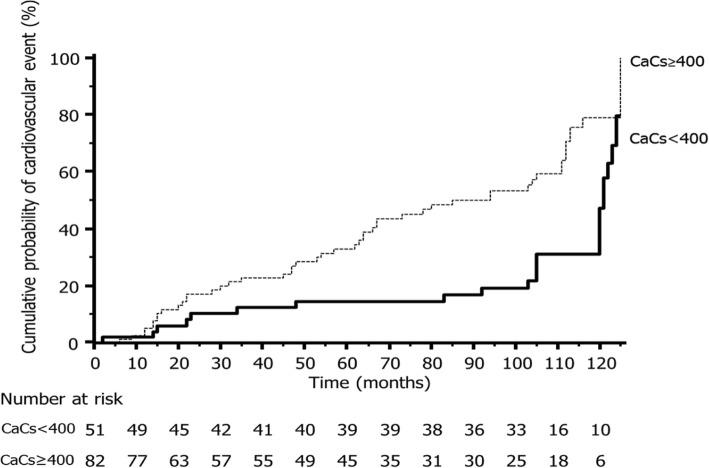
We conducted a cohort, 10-year prospective longitudinal study of consecutive cases referred to the renal unit. A non-enhanced multislice coronary computed tomography was performed at baseline. CaC was assessed by Agatston method. Patients were stratified according to their CaC score: severe calcification group (CaCs< 400 HU) and mild-moderate calcification group (CaCs≥400 HU). The overall and cardiovascular (CV) mortality, CV events, and factors potentially associated with CaC development were recorded.

RESULTS

137 patients with advanced CKD were enrolled and provided consent. Overall mortality rate was 58%; 40% due to CV events. The rate of overall mortality in the severe calcification group was 75%, and 30% in the low calcification group, whereas the rate of CV mortality was 35% vs. 6%, respectively (p < 0.001). The severe calcification group was older, had higher prevalence of type 2 diabetes mellitus, former cardiologic events, and lower albumin serum levels than the mild-moderate calcification group. In a multivariate Cox model, severe CaC was a significant predictor of CV mortality (HR 5.01; 95%CI 1.28 to 19.6, p = 0.02).

CONCLUSIONS

Among advanced CKD, there was a significantly increase of CV mortality in patients with severe CaCs during a 10-year follow-up period. CaCs could be a useful prognostic tool to predict CV mortality risk in CKD patients.

摘要

背景

晚期慢性肾脏病(CKD)患者冠状动脉钙化(CaC)的患病率高于普通人群。CaC已被认为是终末期CKD患者死亡的危险因素,但该领域的大多数研究基于短期随访。

方法

我们对连续转诊至肾脏科的病例进行了一项队列研究,为期10年的前瞻性纵向研究。在基线时进行非增强多层冠状动脉计算机断层扫描。采用阿加斯顿法评估CaC。根据CaC评分对患者进行分层:重度钙化组(CaCs<400 HU)和轻度-中度钙化组(CaCs≥400 HU)。记录总死亡率和心血管(CV)死亡率、CV事件以及可能与CaC发生相关的因素。

结果

137例晚期CKD患者入组并签署知情同意书。总死亡率为58%;40%死于CV事件。重度钙化组的总死亡率为75%,低钙化组为30%,而CV死亡率分别为35%和6%(p<0.001)。重度钙化组比轻度-中度钙化组年龄更大,2型糖尿病、既往心脏事件的患病率更高,血清白蛋白水平更低。在多变量Cox模型中,重度CaC是CV死亡的显著预测因素(HR 5.01;95%CI 1.28至19.6,p=0.02)。

结论

在晚期CKD患者中,重度CaCs患者在10年随访期内CV死亡率显著增加。CaCs可能是预测CKD患者CV死亡风险的有用预后工具。

https://cdn.ncbi.nlm.nih.gov/pmc/blobs/909d/6537175/3898f79a097a/12882_2019_1367_Fig1_HTML.jpg

文献AI研究员

20分钟写一篇综述,助力文献阅读效率提升50倍。

立即体验

用中文搜PubMed

大模型驱动的PubMed中文搜索引擎

马上搜索

文档翻译

学术文献翻译模型,支持多种主流文档格式。

立即体验