Suppr超能文献

全面的马铃薯(Solanum tuberosum)扩展蛋白基因家族表达分析揭示了干旱和耐热相关的应激响应扩展蛋白样 B 基因。

A comprehensive expression analysis of the expansin gene family in potato (Solanum tuberosum) discloses stress-responsive expansin-like B genes for drought and heat tolerances.

机构信息

School of Life Science, Yunnan Normal University, Kunming, China.

Joint Academy of Potato Science, Yunnan Normal University, Kunming, China.

出版信息

PLoS One. 2019 Jul 18;14(7):e0219837. doi: 10.1371/journal.pone.0219837. eCollection 2019.

Abstract

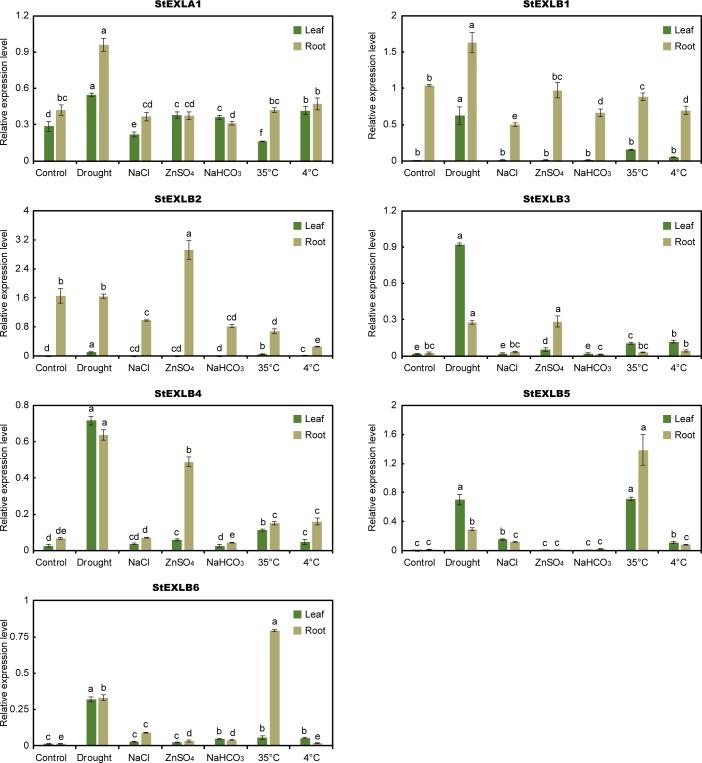
Expansin is a type of cell wall elongation and stress relaxation protein involved in various developmental processes and stress resistances in plant. In this study, we identified 36 potato (Solanum tuberosum L.) genes belonging to the expansin (StEXP) gene family from the genome reference. These genes included 24 α-expansins (StEXPAs), five β-expansins (StEXPBs), one expansin-like A (StEXLA) and six expansin-like B (StEXLBs). The RNA-Seq analysis conducted from a variety of tissue types showed 34 expansins differentially expressed among tissues, some of which only expressed in specific tissues. Most of the StEXPAs and StEXPB2 transcripts were more abundant in young tuber compared with other tissues, suggesting they likely play a role in tuber development. There were 31 genes, especially StEXLB6, showed differential expression under the treatments of ABA, IAA and GA3, as well as under the drought and heat stresses, indicating they were likely involved in potato stress resistance. In addition, the gene co-expression analysis indicated the StEXLBs likely contribute to a wider range of stress resistances compared with other genes. We found the StEXLA and six StEXLBs expressed differently under a range of abiotic stresses (salt, alkaline, heavy metals, drought, heat, and cold stresses), which likely participated in the associated signaling pathways. Comparing with the control group, potato growing under the drought or heat stresses exhibited up-regulation of the all six StEXLB genes in leaves, whereas, the StEXLB3, StEXLB4, StEXLB5 and StEXLB6 showed relatively higher expression levels in roots. This suggested these genes likely played a role in the drought and heat tolerance. Overall, this study has shown the potential role of the StEXP genes in potato growth and stress tolerance, and provided fundamental resources for the future studies in potato breeding.

摘要

扩展蛋白是一种细胞壁伸长和应力松弛蛋白,参与植物的各种发育过程和抗逆性。在这项研究中,我们从基因组参考中鉴定出 36 个马铃薯(Solanum tuberosum L.)属于扩展蛋白(StEXP)基因家族的基因。这些基因包括 24 个α-扩展蛋白(StEXPAs)、5 个β-扩展蛋白(StEXPBs)、1 个扩展蛋白样 A(StEXLA)和 6 个扩展蛋白样 B(StEXLBs)。来自各种组织类型的 RNA-Seq 分析表明,34 个扩展蛋白在组织间差异表达,其中一些仅在特定组织中表达。大多数 StEXPAs 和 StEXPB2 转录本在幼薯中比其他组织更为丰富,表明它们可能在块茎发育中发挥作用。有 31 个基因,特别是 StEXLB6,在 ABA、IAA 和 GA3 处理以及干旱和热胁迫下表现出差异表达,表明它们可能参与马铃薯的抗逆性。此外,基因共表达分析表明,与其他基因相比,StEXLBs 可能有助于更广泛的抗逆性。我们发现 StEXLA 和 6 个 StEXLBs 在多种非生物胁迫(盐、碱性、重金属、干旱、热和冷胁迫)下表达不同,可能参与了相关的信号通路。与对照组相比,在干旱或热胁迫下生长的马铃薯叶片中所有 6 个 StEXLB 基因均上调,而 StEXLB3、StEXLB4、StEXLB5 和 StEXLB6 在根中表达水平相对较高。这表明这些基因可能在抗旱和耐热性中发挥作用。总的来说,这项研究表明 StEXP 基因在马铃薯生长和抗逆性中的潜在作用,为未来马铃薯育种研究提供了基础资源。

https://cdn.ncbi.nlm.nih.gov/pmc/blobs/0916/6638956/c74363e36647/pone.0219837.g001.jpg

文献AI研究员

20分钟写一篇综述,助力文献阅读效率提升50倍。

立即体验

用中文搜PubMed

大模型驱动的PubMed中文搜索引擎

马上搜索

文档翻译

学术文献翻译模型,支持多种主流文档格式。

立即体验