Suppr超能文献

强阴离子交换介导的磷酸化蛋白质组学揭示了广泛的人类非经典磷酸化。

Strong anion exchange-mediated phosphoproteomics reveals extensive human non-canonical phosphorylation.

机构信息

Centre for Proteome Research, Department of Biochemistry, Institute of Integrative Biology, University of Liverpool, Liverpool, UK.

Department of Comparative and Functional Genomics, Institute of Integrative Biology, University of Liverpool, Liverpool, UK.

出版信息

EMBO J. 2019 Oct 4;38(21):e100847. doi: 10.15252/embj.2018100847. Epub 2019 Aug 21.

Abstract

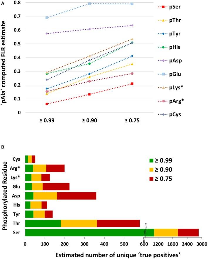
Phosphorylation is a key regulator of protein function under (patho)physiological conditions, and defining site-specific phosphorylation is essential to understand basic and disease biology. In vertebrates, the investigative focus has primarily been on serine, threonine and tyrosine phosphorylation, but mounting evidence suggests that phosphorylation of other "non-canonical" amino acids also regulates critical aspects of cell biology. However, standard methods of phosphoprotein characterisation are largely unsuitable for the analysis of non-canonical phosphorylation due to their relative instability under acidic conditions and/or elevated temperature. Consequently, the complete landscape of phosphorylation remains unexplored. Here, we report an unbiased phosphopeptide enrichment strategy based on strong anion exchange (SAX) chromatography (UPAX), which permits identification of histidine (His), arginine (Arg), lysine (Lys), aspartate (Asp), glutamate (Glu) and cysteine (Cys) phosphorylation sites on human proteins by mass spectrometry-based phosphoproteomics. Remarkably, under basal conditions, and having accounted for false site localisation probabilities, the number of unique non-canonical phosphosites is approximately one-third of the number of observed canonical phosphosites. Our resource reveals the previously unappreciated diversity of protein phosphorylation in human cells, and opens up avenues for high-throughput exploration of non-canonical phosphorylation in all organisms.

摘要

磷酸化是(病理)生理条件下蛋白质功能的关键调节剂,定义特定位置的磷酸化对于理解基础生物学和疾病生物学至关重要。在脊椎动物中,研究重点主要集中在丝氨酸、苏氨酸和酪氨酸磷酸化上,但越来越多的证据表明,其他“非经典”氨基酸的磷酸化也调节着细胞生物学的关键方面。然而,由于在酸性条件下相对不稳定和/或高温,标准的磷酸蛋白特征分析方法在很大程度上不适合分析非经典磷酸化。因此,磷酸化的全貌仍未被探索。在这里,我们报告了一种基于强阴离子交换(SAX)色谱(UPAX)的无偏磷酸肽富集策略,该策略通过基于质谱的磷酸蛋白质组学可鉴定人蛋白中天冬氨酸(Asp)、谷氨酸(Glu)、组氨酸(His)、精氨酸(Arg)、赖氨酸(Lys)、半胱氨酸(Cys)磷酸化位点。值得注意的是,在基础条件下,并且考虑到错误定位概率,独特的非经典磷酸化位点数量约为观察到的经典磷酸化位点数量的三分之一。我们的资源揭示了人类细胞中以前未被认识到的蛋白质磷酸化多样性,并为所有生物中非经典磷酸化的高通量探索开辟了途径。

https://cdn.ncbi.nlm.nih.gov/pmc/blobs/fcb4/6826212/dea1f6df6c4b/EMBJ-38-e100847-g003.jpg

文献AI研究员

20分钟写一篇综述,助力文献阅读效率提升50倍。

立即体验

用中文搜PubMed

大模型驱动的PubMed中文搜索引擎

马上搜索

文档翻译

学术文献翻译模型,支持多种主流文档格式。

立即体验