Suppr超能文献

使用双标水测量的总能量消耗与老年人(≥65 岁)的估计能量需求比较:主要数据分析。

Total energy expenditure measured using doubly labeled water compared with estimated energy requirements in older adults (≥65 y): analysis of primary data.

机构信息

Department of Nutrition, Dietetics, and Food, Monash University, Notting Hill, Victoria, Australia.

Allied Health Clinical Research Office, Eastern Health, Box Hill, Victoria, Australia.

出版信息

Am J Clin Nutr. 2019 Dec 1;110(6):1353-1361. doi: 10.1093/ajcn/nqz200.

Abstract

BACKGROUND

Contemporary energy expenditure data are crucial to inform and guide nutrition policy in older adults to optimize nutrition and health.

OBJECTIVE

The aim was to determine the optimal method of estimating total energy expenditure (TEE) in adults (aged ≥65 y) through 1) establishing which published predictive equations have the closest agreement between measured resting metabolic rate (RMR) and predicted RMR and 2) utilizing the RMR equations with the best agreement to predict TEE against the reference method of doubly labeled water (DLW).

METHODS

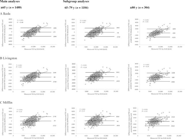
A database consisting of international participant-level TEE data from DLW studies was developed to enable comparison with energy requirements estimated by 17 commonly used predictive equations. This database included 31 studies comprising 988 participant-level RMR data and 1488 participant-level TEE data. Mean physical activity level (PAL) was determined for men (PAL = 1.69, n = 320) and women (PAL = 1.66, n = 668). Bland-Altman plots assessed agreement of measured RMR and TEE with predicted RMR and TEE in adults aged ≥65 y, and subgroups of 65-79 y and ≥80 y. Linear regression assessed proportional bias.

RESULTS

The Ikeda, Livingston, and Mifflin equations most closely agreed with measured RMR and TEE in all adults aged ≥65 y and in the 65-79 y and ≥80 y subgroups. In adults aged ≥65 y, the Ikeda and Livingston equations overestimated TEE by a mean ± SD of 175 ± 1362 kJ/d and 86 ± 1344 kJ/d, respectively. The Mifflin equation underestimated TEE by a mean ± SD of 24 ± 1401 kJ/d. Proportional bias was present as energy expenditure increased.

CONCLUSIONS

The Ikeda, Livingston, or Mifflin equations are recommended for estimating energy requirements of older adults. Future research should focus on developing predictive equations to meet the requirements of the older population with consideration given to body composition and functional measures.

摘要

背景

当代能量消耗数据对于为老年人提供营养政策信息和指导至关重要,以优化营养和健康。

目的

通过以下两个步骤来确定评估成年人(年龄≥65 岁)总能量消耗(TEE)的最佳方法:1)确定哪些已发表的预测方程在测量静息代谢率(RMR)和预测 RMR 之间具有最接近的一致性;2)利用具有最佳一致性的 RMR 方程预测 TEE,与双标水(DLW)的参考方法进行比较。

方法

建立了一个包含来自 DLW 研究的国际参与者水平 TEE 数据的数据库,以能够与 17 种常用预测方程估计的能量需求进行比较。该数据库包括 31 项研究,包含 988 个参与者水平的 RMR 数据和 1488 个参与者水平的 TEE 数据。男性(PAL=1.69,n=320)和女性(PAL=1.66,n=668)的平均体力活动水平(PAL)确定。Bland-Altman 图评估了≥65 岁成年人中测量的 RMR 和 TEE 与预测的 RMR 和 TEE 的一致性,并在 65-79 岁和≥80 岁亚组中进行了评估。线性回归评估了比例偏差。

结果

在所有≥65 岁的成年人以及 65-79 岁和≥80 岁亚组中,Ikeda、Livingston 和 Mifflin 方程最接近测量的 RMR 和 TEE。在≥65 岁的成年人中,Ikeda 和 Livingston 方程分别高估了 TEE,平均为 175±1362kJ/d 和 86±1344kJ/d。Mifflin 方程低估了 TEE,平均为 24±1401kJ/d。随着能量消耗的增加,出现了比例偏差。

结论

推荐使用 Ikeda、Livingston 或 Mifflin 方程来估算老年人的能量需求。未来的研究应侧重于开发预测方程,以满足老年人的需求,并考虑身体成分和功能测量。

https://cdn.ncbi.nlm.nih.gov/pmc/blobs/6f82/6885473/8b52f889ea14/nqz200fig1.jpg

文献AI研究员

20分钟写一篇综述,助力文献阅读效率提升50倍。

立即体验

用中文搜PubMed

大模型驱动的PubMed中文搜索引擎

马上搜索

文档翻译

学术文献翻译模型,支持多种主流文档格式。

立即体验