Suppr超能文献

在每日两餐制下,长时间禁食期间菊粉喂养对小鼠微生物群落组成的影响。

Mice Microbiota Composition Changes by Inulin Feeding with a Long Fasting Period under a Two-Meals-Per-Day Schedule.

机构信息

Laboratory of Physiology and Pharmacology, School of Advanced Science and Engineering, Waseda University, Shinjuku-ku, Tokyo 162-8480, Japan.

AIST-Waseda University Computational Bio Big-Data Open Innovation Laboratory (CBBD-OIL),National Institute of Advanced Industrial Science and Technology, Shinjuku-ku, Tokyo 169-8555, Japan.

出版信息

Nutrients. 2019 Nov 16;11(11):2802. doi: 10.3390/nu11112802.

Abstract

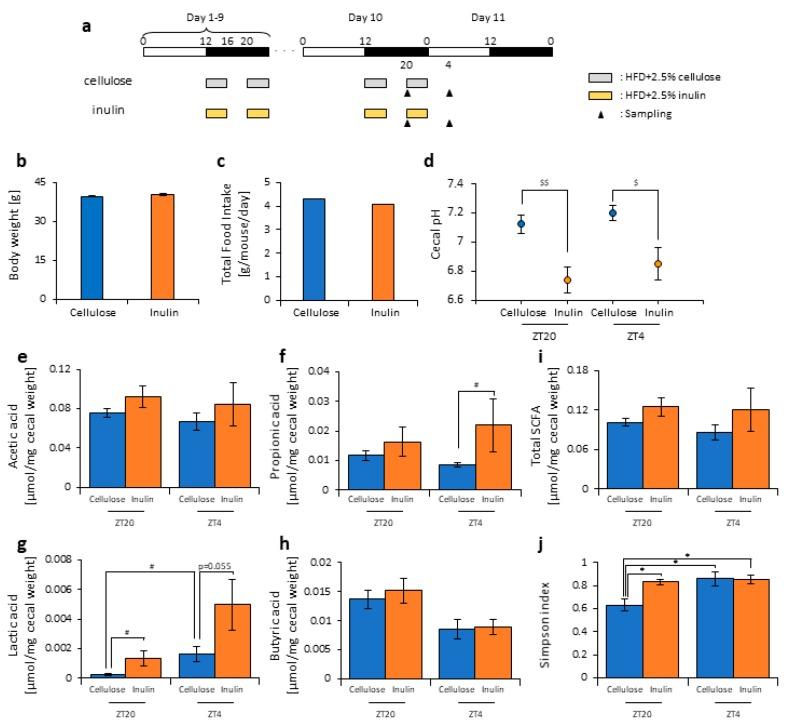
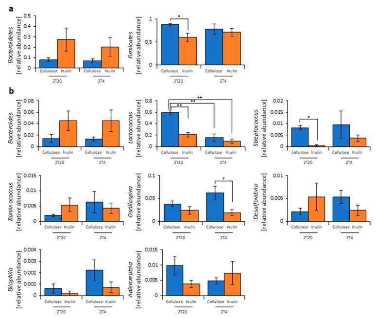
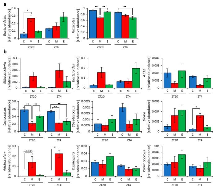
Water-soluble dietary fiber is known to modulate fecal microbiota. Although there are a few reports investigating the effects of fiber intake timing on metabolism, there are none on the effect of intake timing on microbiota. Therefore, in this study, we examined the timing effects of inulin-containing food on fecal microbiota. Mice were housed under conditions with a two-meals-per-day schedule, with a long fasting period in the morning and a short fasting period in the evening. Then, 10-14 days after inulin intake, cecal content and feces were collected, and cecal pH and short-chain fatty acids (SCFAs) were measured. The microbiome was determined using 16S rDNA sequencing. Inulin feeding in the morning rather than the evening decreased the cecal pH, increased SCFAs, and changed the microbiome composition. These data suggest that inulin is more easily digested by fecal microbiota during the active period than the inactive period. Furthermore, to confirm the effect of fasting length, mice were housed under a one-meal-per-day schedule. When the duration of fasting was equal, the difference between morning and evening nearly disappeared. Thus, our study demonstrates that consuming inulin at breakfast, which is generally after a longer fasting period, has a greater effect on the microbiota.

摘要

水溶性膳食纤维已知可调节粪便微生物群。虽然有一些关于纤维摄入时间对代谢影响的报告,但没有关于摄入时间对微生物群影响的报告。因此,在这项研究中,我们研究了含有菊粉的食物对粪便微生物群的时间效应。将小鼠饲养在每天两餐的条件下,早上有长时间的禁食期,晚上有短时间的禁食期。然后,在摄入菊粉 10-14 天后,收集盲肠内容物和粪便,并测量盲肠 pH 值和短链脂肪酸(SCFAs)。使用 16S rDNA 测序确定微生物组。与晚上相比,早上摄入菊粉可降低盲肠 pH 值、增加 SCFAs 并改变微生物组组成。这些数据表明,在活跃期,菊粉比不活跃期更易被粪便微生物群消化。此外,为了确认禁食时间长度的影响,将小鼠饲养在每天一餐的条件下。当禁食时间相等时,早上和晚上之间的差异几乎消失。因此,我们的研究表明,在早餐时摄入菊粉(通常是在较长的禁食期后)对微生物群的影响更大。

https://cdn.ncbi.nlm.nih.gov/pmc/blobs/2d2c/6893728/cd809e6012b5/nutrients-11-02802-g001.jpg

文献AI研究员

20分钟写一篇综述,助力文献阅读效率提升50倍。

立即体验

用中文搜PubMed

大模型驱动的PubMed中文搜索引擎

马上搜索

文档翻译

学术文献翻译模型,支持多种主流文档格式。

立即体验