Suppr超能文献

术前血小板与淋巴细胞比值是预测非小细胞肺癌预后的一项优于其他全身炎症反应标志物的生物标志物。

Preoperative platelet-lymphocyte ratio is a superior prognostic biomarker to other systemic inflammatory response markers in non-small cell lung cancer.

作者信息

Huang Qing, Diao Peng, Li Chang-Lin, Peng Qian, Xie Tianpeng, Tan Yan, Lang Jin-Yi

机构信息

Department of Oncology, Chengdu First Peoples' Hospital.

Department of Radiotherapy.

出版信息

Medicine (Baltimore). 2020 Jan;99(4):e18607. doi: 10.1097/MD.0000000000018607.

Abstract

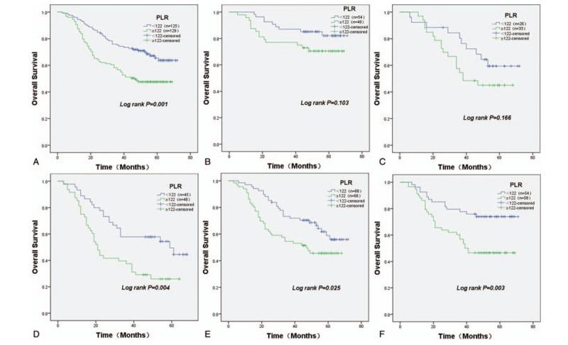
Systemic inflammatory response markers are associated with poor survival in many types of malignances. This study aimed to evaluate the prognostic value of preoperative neutrophil-lymphocyte ratio (NLR), platelet-lymphocyte ratio (PLR), lymphocyte-monocyte ratio (LMR), and C-reactive protein (CRP) in patients with non-small cell lung cancer (NSCLC).We retrospectively evaluated 254 NSCLC patients who underwent radical surgery between January 2012 and April 2014 in the Sichuan Provincial Cancer Hospital. The cut-off values of NLR, PLR, LMR, and CRP were determined according to the receiver operating characteristic curve, and the correlation of NLR, PLR, LMR, and CRP with prognosis was analyzed based on the cut-off value.The cut-off value for NLR, PLR, LMR, and CRP were 3.18, 122, 4.04, and 8.8, respectively. Univariate analysis showed that age (P = .022), tumor-node-metastasis (TNM) stage (P < .001), T stage (P = .001), and N stage (P < .001) were significantly correlated with disease-free survival (DFS), while age (P = .011), TNM stage (P < .001), T stage (P = .008), N stage (P < .001), and PLR (P = .001) were significantly correlated with overall survival (OS). In multivariate analysis, age (hazard ratio [HR]: 1.564, 95% confidence interval [CI]: 1.087-2.252, P = .016) and TNM stage (HR: 1.704, 95% CI: 1.061-2.735, P = .027) remained independent risk factors affecting DFS, while age (HR: 1.721, 95% CI: 1.153-2.567, P = .008), TNM stage (HR: 2.198, 95% CI: 1.263-3.824, P = .005), and PLR (HR: 1.850, 95% CI: 1.246-2.746, P = .002) were independent risk factors affecting OS.The preoperative PLR is superior to NLR, LMR, and CRP as a biomarker for evaluating the prognosis of patients undergoing curative surgery for NSCLC.

摘要

全身炎症反应标志物与多种恶性肿瘤的不良生存相关。本研究旨在评估术前中性粒细胞与淋巴细胞比值(NLR)、血小板与淋巴细胞比值(PLR)、淋巴细胞与单核细胞比值(LMR)及C反应蛋白(CRP)在非小细胞肺癌(NSCLC)患者中的预后价值。我们回顾性评估了2012年1月至2014年4月在四川省肿瘤医院接受根治性手术的254例NSCLC患者。根据受试者工作特征曲线确定NLR、PLR、LMR和CRP的截断值,并基于截断值分析NLR、PLR、LMR和CRP与预后的相关性。NLR、PLR、LMR和CRP的截断值分别为3.18、122、4.04和8.8。单因素分析显示,年龄(P = 0.022)、肿瘤-淋巴结-转移(TNM)分期(P < 0.001)、T分期(P = 0.001)和N分期(P < 0.001)与无病生存期(DFS)显著相关,而年龄(P = 0.011)、TNM分期(P < 0.001)、T分期(P = 0.008)、N分期(P < 0.001)和PLR(P = 0.001)与总生存期(OS)显著相关。多因素分析显示,年龄(风险比[HR]:1.564,95%置信区间[CI]:1.087 - 2.252,P = 0.016)和TNM分期(HR:1.704,95% CI:1.061 - 2.735,P = 0.027)仍是影响DFS的独立危险因素,而年龄(HR:1.721,95% CI:1.153 - 2.

https://cdn.ncbi.nlm.nih.gov/pmc/blobs/c2b9/7004654/1132d9f59e75/medi-99-e18607-g002.jpg

文献AI研究员

20分钟写一篇综述,助力文献阅读效率提升50倍。

立即体验

用中文搜PubMed

大模型驱动的PubMed中文搜索引擎

马上搜索

文档翻译

学术文献翻译模型,支持多种主流文档格式。

立即体验