Suppr超能文献

血清骨桥蛋白对特发性肺纤维化急性加重的预后价值。

Prognostic Value of Serum Osteopontin in Acute Exacerbation of Idiopathic Pulmonary Fibrosis.

机构信息

Department of Respiratory and Critical Care Medicine, The Affiliated Drum Tower Hospital of Nanjing University Medical School, No. 321 Zhongshan Road, Nanjing 210008, Jiangsu, China.

Department of Respiratory and Critical Care Medicine, Drum Tower Clinical Medical College of Nanjing Medical University, No. 321 Zhongshan Road, Nanjing 210008, Jiangsu, China.

出版信息

Biomed Res Int. 2020 Feb 10;2020:3424208. doi: 10.1155/2020/3424208. eCollection 2020.

Abstract

BACKGROUND

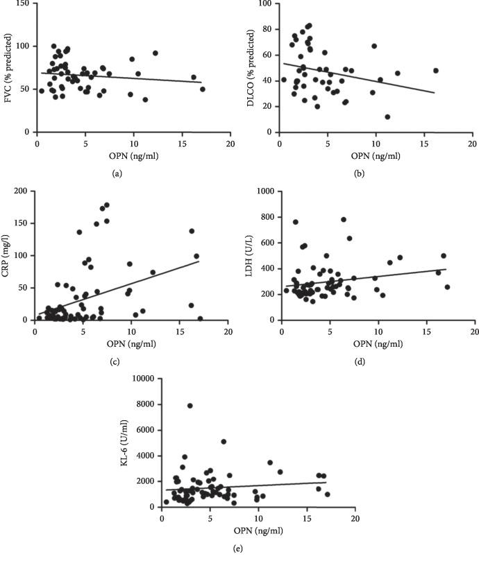
Acute exacerbation (AE) is a common cause of rapid deterioration and high mortality in idiopathic pulmonary fibrosis (IPF) patients. Osteopontin (OPN) plays an important role in IPF, but the studies about serum OPN in AE-IPF are unclear. We aimed to investigate whether OPN had a potential prognostic value in acute exacerbation and mortality in IPF.

METHODS

Thirty-two patients with AE-IPF, 39 with S-IPF, and 20 healthy controls were included. Serum OPN and KL-6 levels were compared between AE-IPF and S-IPF. Logistic regression analysis was applied to identify the predicted value of OPN for AE. Kaplan-Meier curves were used to display survival, and Cox proportional hazards regression was used to identify risk for mortality.

RESULTS

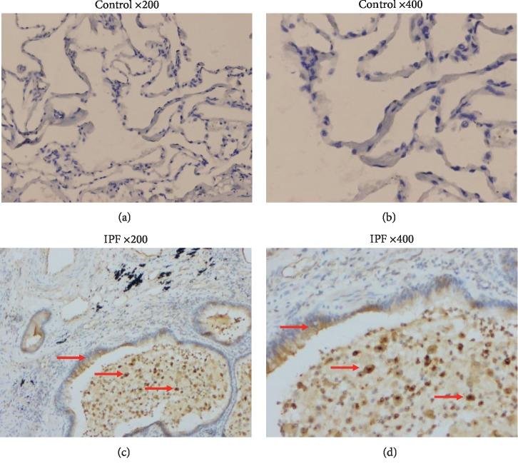
In AE-IPF patients, serum OPN levels were significantly higher than in S-IPF subjects ( < 0.001) or healthy controls ( < 0.001) or healthy controls ( < 0.001) or healthy controls ( < 0.001) or healthy controls ( < 0.001) or healthy controls ( < 0.001) or healthy controls ( < 0.001) or healthy controls ( < 0.001) or healthy controls ( < 0.001) or healthy controls ( < 0.001) or healthy controls (.

CONCLUSION

Elevated OPN could be a potential serum predictor for AE status and survival in IPF patients.

摘要

背景

急性加重(AE)是特发性肺纤维化(IPF)患者病情迅速恶化和高死亡率的常见原因。骨桥蛋白(OPN)在 IPF 中起重要作用,但关于 AE-IPF 中血清 OPN 的研究尚不清楚。我们旨在探讨 OPN 是否在 IPF 的急性加重和死亡率方面具有潜在的预后价值。

方法

纳入 32 例 AE-IPF 患者、39 例 S-IPF 患者和 20 例健康对照者。比较 AE-IPF 和 S-IPF 之间血清 OPN 和 KL-6 水平。应用逻辑回归分析确定 OPN 对 AE 的预测价值。采用 Kaplan-Meier 曲线显示生存情况,采用 Cox 比例风险回归分析识别死亡风险。

结果

在 AE-IPF 患者中,血清 OPN 水平明显高于 S-IPF 患者(<0.001)或健康对照者(<0.001)。

结论

OPN 升高可能是 IPF 患者 AE 状态和生存的潜在血清预测指标。

https://cdn.ncbi.nlm.nih.gov/pmc/blobs/15b5/7035537/21bc36e7f6c7/BMRI2020-3424208.001.jpg

文献AI研究员

20分钟写一篇综述,助力文献阅读效率提升50倍。

立即体验

用中文搜PubMed

大模型驱动的PubMed中文搜索引擎

马上搜索

文档翻译

学术文献翻译模型,支持多种主流文档格式。

立即体验