Suppr超能文献

GFAT1/HBP/O-GlcNAcylation 轴调节 β-连环蛋白活性以促进胰腺癌侵袭性。

GFAT1/HBP/O-GlcNAcylation Axis Regulates -Catenin Activity to Promote Pancreatic Cancer Aggressiveness.

机构信息

Department of Gastroenterology, Beijing Jishuitan Hospital, Beijing 100035, China.

Department of Pancreatic Surgery, Huashan Hospital, Fudan University, Shanghai 200040, China.

出版信息

Biomed Res Int. 2020 Feb 15;2020:1921609. doi: 10.1155/2020/1921609. eCollection 2020.

Abstract

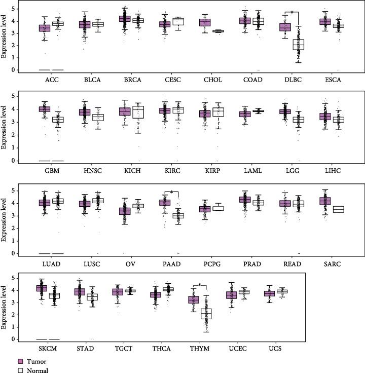
Reprogrammed glucose and glutamine metabolism are essential for tumor initiation and development. As a branch of glucose and metabolism, the hexosamine biosynthesis pathway (HBP) generates uridine diphosphate N-acetylglucosamine (UDP-GlcNAc) and contributes to the O-GlcNAcylation process. However, the spectrum of HBP-dependent tumors and the mechanisms by which the HBP promotes tumor aggressiveness remain areas of active investigation. In this study, we analyzed the activity of the HBP and its prognostic value across 33 types of human cancers. Increased HBP activity was observed in pancreatic ductal adenocarcinoma (PDAC), and higher HBP activity predicted a poor prognosis in PDAC patients. Genetic silencing or pharmacological inhibition of the first and rate-limiting enzyme of the HBP, glutamine:fructose-6-phosphate amidotransferase 1 (GFAT1), inhibited PDAC cell proliferation, invasive capacity, and triggered cell apoptosis. Notably, these effects can be restored by addition of UDP-GlcNAc. Moreover, similar antitumor effects were noticed by pharmacological inhibition of GFAT1 with 6-diazo-5-oxo-l-norleucine (DON) or Azaserine. PDAC is maintained by oncogenic Wnt/-catenin transcriptional activity. Our data showed that GFAT1 can regulate -catenin expression via modulation of the O-GlcNAcylation process. TOP/FOP-Flash and real-time qPCR analysis showed that GFAT1 knockdown inhibited -catenin activity and the transcription of its downstream target genes and . Ectopic expression of a stabilized form of -catenin restored the suppressive roles of GFAT1 knockdown on PDAC cell proliferation and invasion. Collectively, our findings indicate that higher GFAT1/HBP/O-GlcNAcylation exhibits tumor-promoting roles by maintaining -catenin activity in PDAC.

摘要

重新编程的葡萄糖和谷氨酰胺代谢对于肿瘤的发生和发展至关重要。作为葡萄糖代谢的一个分支,己糖胺生物合成途径(HBP)生成尿苷二磷酸 N-乙酰葡萄糖胺(UDP-GlcNAc),并有助于 O-GlcNAc 化过程。然而,HBP 依赖性肿瘤的范围以及 HBP 促进肿瘤侵袭性的机制仍然是积极研究的领域。在这项研究中,我们分析了 33 种人类癌症中 HBP 的活性及其预后价值。在胰腺导管腺癌(PDAC)中观察到 HBP 活性增加,并且较高的 HBP 活性预示着 PDAC 患者预后不良。HBP 的第一个限速酶谷氨酰胺:果糖-6-磷酸酰胺转移酶 1(GFAT1)的遗传沉默或药理学抑制抑制了 PDAC 细胞的增殖、侵袭能力,并触发了细胞凋亡。值得注意的是,通过添加 UDP-GlcNAc 可以恢复这些作用。此外,用 6-二氮-5-氧-L-正亮氨酸(DON)或偶氮丝氨酸抑制 GFAT1 也观察到类似的抗肿瘤作用。PDAC 由致癌 Wnt/-连环蛋白转录活性维持。我们的数据表明,GFAT1 可以通过调节 O-GlcNAc 化过程来调节 -连环蛋白的表达。TOP/FOP-Flash 和实时 qPCR 分析表明,GFAT1 敲低抑制了 -连环蛋白的活性及其下游靶基因的转录 和 。稳定形式的 -连环蛋白的异位表达恢复了 GFAT1 敲低对 PDAC 细胞增殖和侵袭的抑制作用。总之,我们的研究结果表明,较高的 GFAT1/HBP/O-GlcNAc 化通过维持 PDAC 中 -连环蛋白的活性发挥促肿瘤作用。

https://cdn.ncbi.nlm.nih.gov/pmc/blobs/40e9/7048922/7e52cf02109d/BMRI2020-1921609.001.jpg

文献AI研究员

20分钟写一篇综述,助力文献阅读效率提升50倍。

立即体验

用中文搜PubMed

大模型驱动的PubMed中文搜索引擎

马上搜索

文档翻译

学术文献翻译模型,支持多种主流文档格式。

立即体验