Suppr超能文献

-1,2-二氨基-4-环己烯的铂(IV)配合物:前药提供了一种奥沙利铂类似物,可克服癌症耐药性。

Platinum(IV) Complexes of -1,2-diamino-4-cyclohexene: Prodrugs Affording an Oxaliplatin Analogue that Overcomes Cancer Resistance.

机构信息

Department of Biological and Environmental Sciences and Technologies (DiSTeBA), University of Salento, 73100 Lecce, Italy.

Dipartimento di Chimica, Università degli Studi di Bari Aldo Moro, Via E. Orabona 4, 70125 Bari, Italy.

出版信息

Int J Mol Sci. 2020 Mar 27;21(7):2325. doi: 10.3390/ijms21072325.

Abstract

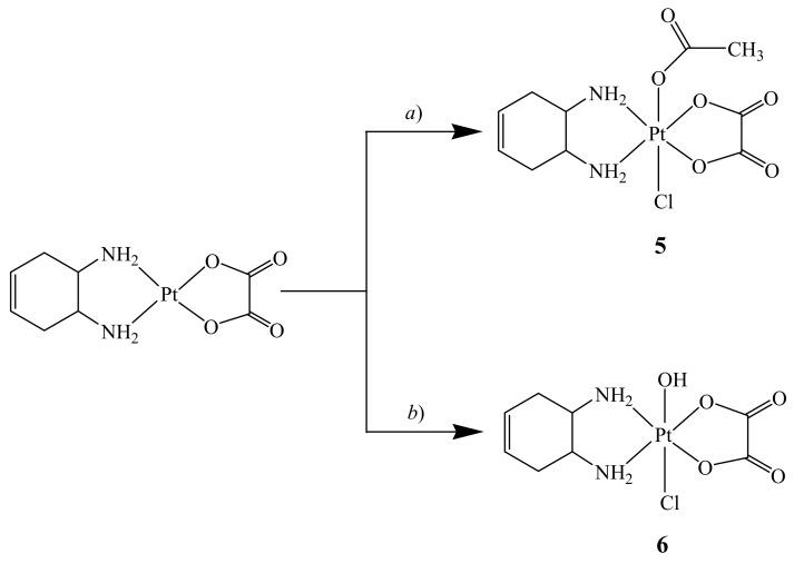
Six platinum(IV) compounds derived from an oxaliplatin analogue containing the unsaturated cyclic diamine -1,2-diamino-4-cyclohexene (DACHEX), in place of the 1,2-diaminocyclohexane, and a range of axial ligands, were synthesized and characterized. The derivatives with at least one axial chlorido ligand demonstrated solvent-assisted photoreduction. The electrochemical redox behavior was investigated by cyclic voltammetry; all compounds showed reduction potentials suitable for activation in vivo. X-ray photoelectron spectroscopy (XPS) data indicated an X-ray-induced surface reduction of the Pt(IV) substrates, which correlates with the reduction potentials measured by cyclic voltammetry. The cytotoxic activity was assessed in vitro on a panel of human cancer cell lines, also including oxaliplatin-resistant cancer cells, and compared with that of the reference compounds cisplatin and oxaliplatin; all IC values were remarkably lower than those elicited by cisplatin and somewhat lower than those of oxaliplatin. Compared to the other Pt(IV) compounds of the series, the bis-benzoate derivative was by far (5-8 times) the most cytotoxic showing that low reduction potential and high lipophilicity are essential for good cytotoxicity. Interestingly, all the complexes proved to be more active than cisplatin and oxaliplatin even in three-dimensional spheroids of A431 human cervical cancer cells.

摘要

六种铂(IV)化合物源自奥沙利铂类似物,其中包含不饱和环状二胺-1,2-二氨基-4-环己烯(DACHEX),取代了 1,2-二氨基环己烷,以及一系列轴向配体。至少有一种轴向氯配体的衍生物表现出溶剂辅助光还原。通过循环伏安法研究了电化学氧化还原行为;所有化合物都显示出适合体内激活的还原电位。X 射线光电子能谱(XPS)数据表明,Pt(IV)基底表面在 X 射线照射下发生还原,这与通过循环伏安法测量的还原电位相关。在一组人类癌细胞系上评估了体外细胞毒性活性,还包括奥沙利铂耐药癌细胞,并与参考化合物顺铂和奥沙利铂进行了比较;所有 IC 值都明显低于顺铂,略低于奥沙利铂。与该系列的其他 Pt(IV)化合物相比,双苯甲酸盐衍生物的细胞毒性最高(5-8 倍),表明低还原电位和高亲脂性对于良好的细胞毒性至关重要。有趣的是,即使在 A431 人宫颈癌细胞的三维球体中,所有这些配合物也都证明比顺铂和奥沙利铂更有效。

https://cdn.ncbi.nlm.nih.gov/pmc/blobs/c229/7177638/60be9952caed/ijms-21-02325-sch001.jpg

文献AI研究员

20分钟写一篇综述,助力文献阅读效率提升50倍。

立即体验

用中文搜PubMed

大模型驱动的PubMed中文搜索引擎

马上搜索

文档翻译

学术文献翻译模型,支持多种主流文档格式。

立即体验