Suppr超能文献

用于预测透明细胞肾细胞癌患者生存的自噬相关预后风险特征的构建与验证

Construction and Validation of an Autophagy-Related Prognostic Risk Signature for Survival Predicting in Clear Cell Renal Cell Carcinoma Patients.

作者信息

Yang Huiying, Han Mengjiao, Li Hua

机构信息

Department of Nephrology, Sir Run Run Shaw Hospital, Zhejiang University School of Medicine, Hangzhou, China.

出版信息

Front Oncol. 2020 May 5;10:707. doi: 10.3389/fonc.2020.00707. eCollection 2020.

Abstract

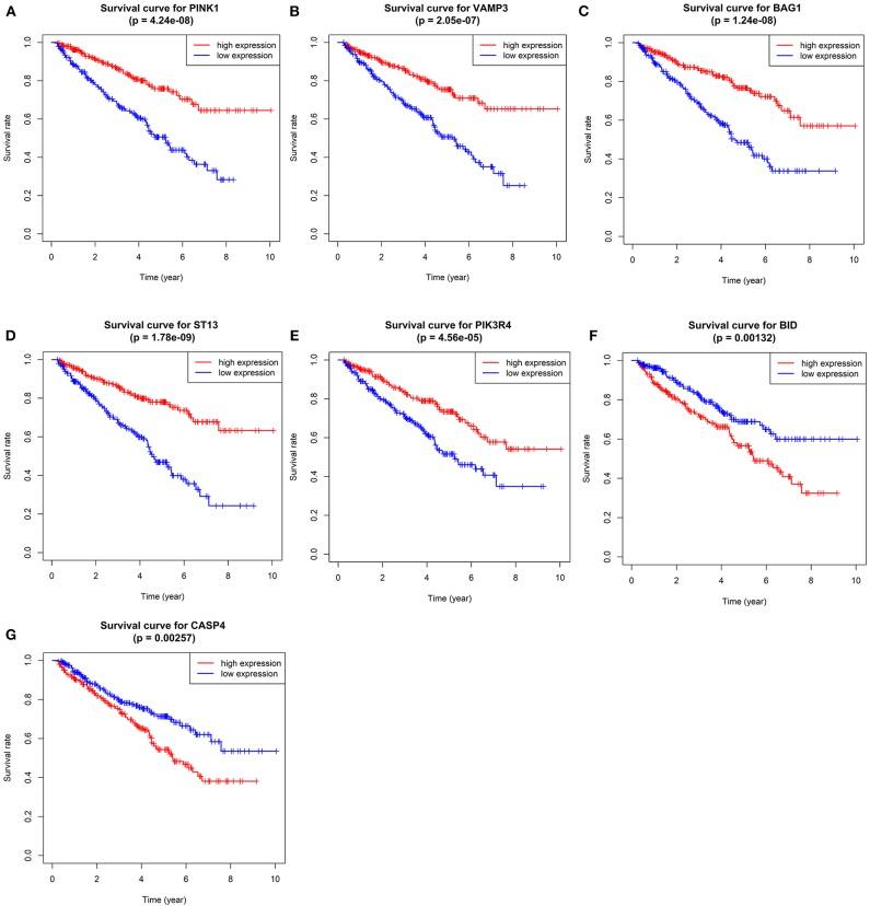
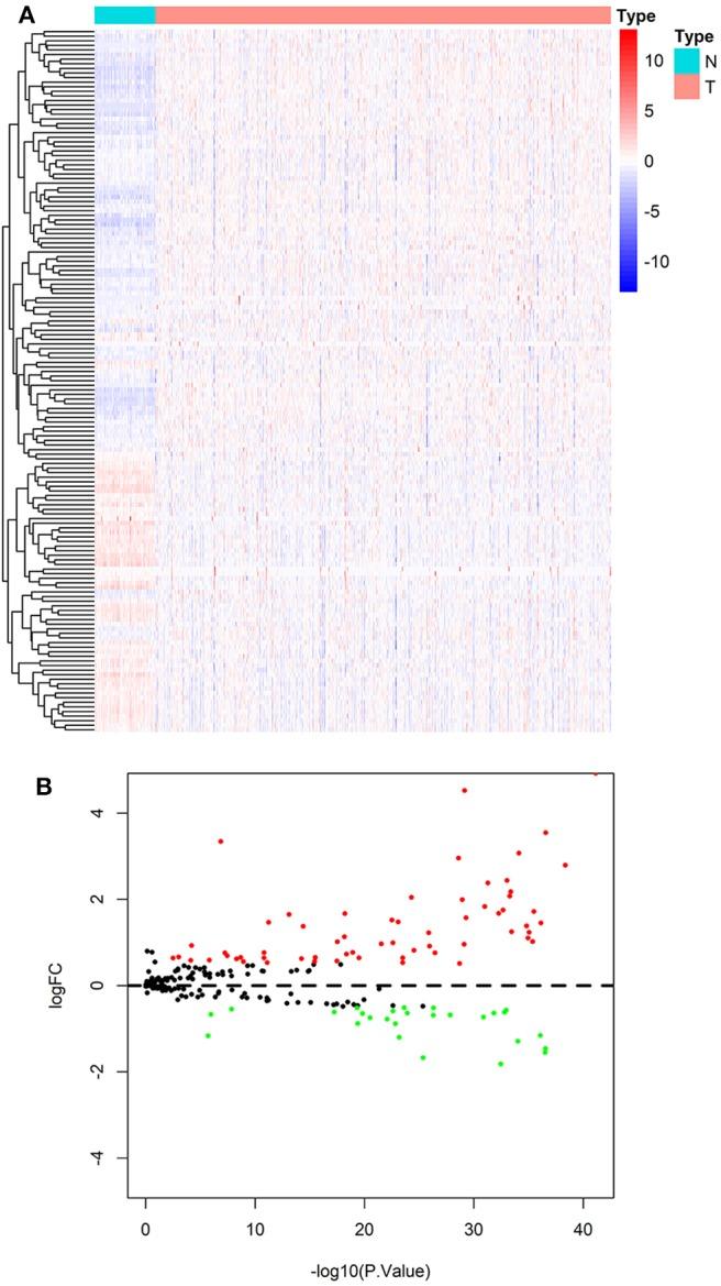
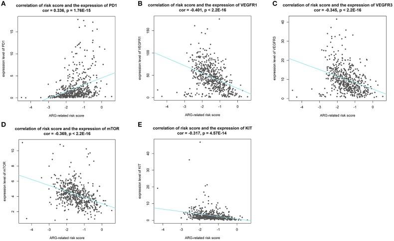
Clear cell renal cell carcinoma (ccRCC) is a common type of malignant tumors in urinary system. Evaluating the prognostic outcome at the time of initial diagnosis is essential for patients. Autophagy is known to play a significant role in tumors. Here, we attempted to construct an autophagy-related prognostic risk signature based on the expression profile of autophagy-related genes (ARGs) for predicting the long-term outcome and effect of precise treatments for ccRCC patients. We obtained the expression profile of ccRCC from the cancer genome atlas (TCGA) database and extract the portion of ARGs. We conducted differentially expressed analysis on ARGs and then performed enrichment analyses to confirm the anomalous autophagy-related biological functions. Then, we performed univariate Cox regression to screen out overall survival (OS)-related ARGs. With these genes, we established an autophagy-related risk signature by least absolute shrinkage and selection operator (LASSO) Cox regression. We validated the reliability of the risk signature with receiver operating characteristic (ROC) analysis, survival analysis, clinic correlation analysis, and Cox regression. Then we analyzed the function of each gene in the signature by single-gene gene set enrichment analysis (GSEA). Finally, we analyzed the correlation between our risk score and expression level of several targets of immunotherapy and targeted therapy. We established a seven-gene prognostic risk signature, according to which we could divide patients into high or low risk groups and predict their outcomes. ROC analysis and survival analysis validated the reliability of the signature. Clinic correlation analysis found that the risk group is significantly correlated with severity of ccRCC. Multivariate Cox regression revealed that the risk score could act as an independent predictor for the prognosis of ccRCC patients. Correlation analysis between risk score and targets of precise treatments showed that our risk signature could predict the effects of precise treatment powerfully. Our study provided a brand new autophagy-related seven-gene prognostic risk signature, which could perform as a prognostic indicator for ccRCC. Meanwhile, our study provides a novel sight to understand the role of autophagy and suggest therapeutic strategies in the category of precise treatment in ccRCC.

摘要

透明细胞肾细胞癌(ccRCC)是泌尿系统常见的恶性肿瘤类型。在初始诊断时评估预后结果对患者至关重要。已知自噬在肿瘤中起重要作用。在此,我们试图基于自噬相关基因(ARG)的表达谱构建一个自噬相关的预后风险特征,以预测ccRCC患者的长期预后和精准治疗效果。我们从癌症基因组图谱(TCGA)数据库获取ccRCC的表达谱,并提取ARG部分。我们对ARG进行差异表达分析,然后进行富集分析以确认异常的自噬相关生物学功能。然后,我们进行单变量Cox回归以筛选出与总生存期(OS)相关的ARG。利用这些基因,我们通过最小绝对收缩和选择算子(LASSO)Cox回归建立了一个自噬相关的风险特征。我们通过受试者工作特征(ROC)分析、生存分析、临床相关性分析和Cox回归验证了风险特征的可靠性。然后我们通过单基因基因集富集分析(GSEA)分析特征中每个基因的功能。最后,我们分析了我们的风险评分与几种免疫治疗和靶向治疗靶点表达水平之间的相关性。我们建立了一个七基因预后风险特征,据此可将患者分为高风险或低风险组并预测其预后。ROC分析和生存分析验证了该特征的可靠性。临床相关性分析发现风险组与ccRCC的严重程度显著相关。多变量Cox回归显示风险评分可作为ccRCC患者预后的独立预测指标。风险评分与精准治疗靶点之间的相关性分析表明,我们的风险特征能够有力地预测精准治疗的效果。我们的研究提供了一个全新的自噬相关七基因预后风险特征,可作为ccRCC的预后指标。同时,我们的研究为理解自噬的作用以及在ccRCC精准治疗类别中提出治疗策略提供了新的视角。

https://cdn.ncbi.nlm.nih.gov/pmc/blobs/f1a2/7214632/6274e63928cc/fonc-10-00707-g0001.jpg

文献AI研究员

20分钟写一篇综述,助力文献阅读效率提升50倍。

立即体验

用中文搜PubMed

大模型驱动的PubMed中文搜索引擎

马上搜索

文档翻译

学术文献翻译模型,支持多种主流文档格式。

立即体验