Suppr超能文献

吸烟、饮酒与癌症:英国生物银行和国际遗传联盟参与者的孟德尔随机化研究。

Smoking, alcohol consumption, and cancer: A mendelian randomisation study in UK Biobank and international genetic consortia participants.

机构信息

Department of Surgical Sciences, Uppsala University, Uppsala, Sweden.

Unit of Cardiovascular and Nutritional Epidemiology, Institute of Environmental Medicine, Karolinska Institutet, Stockholm, Sweden.

出版信息

PLoS Med. 2020 Jul 23;17(7):e1003178. doi: 10.1371/journal.pmed.1003178. eCollection 2020 Jul.

Abstract

BACKGROUND

Smoking is a well-established cause of lung cancer and there is strong evidence that smoking also increases the risk of several other cancers. Alcohol consumption has been inconsistently associated with cancer risk in observational studies. This mendelian randomisation (MR) study sought to investigate associations in support of a causal relationship between smoking and alcohol consumption and 19 site-specific cancers.

METHODS AND FINDINGS

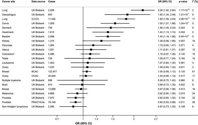
We used summary-level data for genetic variants associated with smoking initiation (ever smoked regularly) and alcohol consumption, and the corresponding associations with lung, breast, ovarian, and prostate cancer from genome-wide association studies consortia, including participants of European ancestry. We additionally estimated genetic associations with 19 site-specific cancers among 367,643 individuals of European descent in UK Biobank who were 37 to 73 years of age when recruited from 2006 to 2010. Associations were considered statistically significant at a Bonferroni corrected p-value below 0.0013. Genetic predisposition to smoking initiation was associated with statistically significant higher odds of lung cancer in the International Lung Cancer Consortium (odds ratio [OR] 1.80; 95% confidence interval [CI] 1.59-2.03; p = 2.26 × 10-21) and UK Biobank (OR 2.26; 95% CI 1.92-2.65; p = 1.17 × 10-22). Additionally, genetic predisposition to smoking was associated with statistically significant higher odds of cancer of the oesophagus (OR 1.83; 95% CI 1.34-2.49; p = 1.31 × 10-4), cervix (OR 1.55; 95% CI 1.27-1.88; p = 1.24 × 10-5), and bladder (OR 1.40; 95% CI 1.92-2.65; p = 9.40 × 10-5) and with statistically nonsignificant higher odds of head and neck (OR 1.40; 95% CI 1.13-1.74; p = 0.002) and stomach cancer (OR 1.46; 95% CI 1.05-2.03; p = 0.024). In contrast, there was an inverse association between genetic predisposition to smoking and prostate cancer in the Prostate Cancer Association Group to Investigate Cancer Associated Alterations in the Genome consortium (OR 0.90; 95% CI 0.83-0.98; p = 0.011) and in UK Biobank (OR 0.90; 95% CI 0.80-1.02; p = 0.104), but the associations did not reach statistical significance. We found no statistically significant association between genetically predicted alcohol consumption and overall cancer (n = 75,037 cases; OR 0.95; 95% CI 0.84-1.07; p = 0.376). Genetically predicted alcohol consumption was statistically significantly associated with lung cancer in the International Lung Cancer Consortium (OR 1.94; 95% CI 1.41-2.68; p = 4.68 × 10-5) but not in UK Biobank (OR 1.12; 95% CI 0.65-1.93; p = 0.686). There was no statistically significant association between alcohol consumption and any other site-specific cancer. The main limitation of this study is that precision was low in some analyses, particularly for analyses of alcohol consumption and site-specific cancers.

CONCLUSIONS

Our findings support the well-established relationship between smoking and lung cancer and suggest that smoking may also be a risk factor for cancer of the head and neck, oesophagus, stomach, cervix, and bladder. We found no evidence supporting a relationship between alcohol consumption and overall or site-specific cancer risk.

摘要

背景

吸烟是肺癌的一个明确的致病因素,并且有强有力的证据表明吸烟也会增加其他几种癌症的风险。酒精摄入与癌症风险之间的关联在观察性研究中不一致。本孟德尔随机化(MR)研究旨在调查支持吸烟和饮酒与 19 个特定部位癌症之间因果关系的关联。

方法和发现

我们使用了与吸烟起始(是否定期吸烟)和酒精摄入相关的遗传变异的汇总数据,以及来自全基因组关联研究联盟的与肺癌、乳腺癌、卵巢癌和前列腺癌相关的相应关联数据,这些联盟包括欧洲血统的参与者。我们还在英国生物库的 367643 名年龄在 37 至 73 岁的欧洲血统个体中,估计了与 19 个特定部位癌症的遗传关联,这些个体于 2006 年至 2010 年期间招募。关联被认为在经过 Bonferroni 校正后的 p 值低于 0.0013 时具有统计学意义。吸烟起始的遗传易感性与国际肺癌联合会(OR 1.80;95%置信区间 [CI] 1.59-2.03;p = 2.26 × 10-21)和英国生物库(OR 2.26;95%CI 1.92-2.65;p = 1.17 × 10-22)的肺癌患病风险显著增加相关。此外,吸烟的遗传易感性与食管癌(OR 1.83;95%CI 1.34-2.49;p = 1.31 × 10-4)、宫颈癌(OR 1.55;95%CI 1.27-1.88;p = 1.24 × 10-5)和膀胱癌(OR 1.40;95%CI 1.92-2.65;p = 9.40 × 10-5)的患病风险显著增加相关,与头颈部癌症(OR 1.40;95%CI 1.13-1.74;p = 0.002)和胃癌(OR 1.46;95%CI 1.05-2.03;p = 0.024)的患病风险无统计学显著关联。相比之下,在前列腺癌协会合作组调查与基因组改变相关的癌症协会(OR 0.90;95%CI 0.83-0.98;p = 0.011)和英国生物库(OR 0.90;95%CI 0.80-1.02;p = 0.104)中,遗传易感性与前列腺癌呈负相关,但这些关联没有达到统计学意义。我们没有发现遗传预测的酒精摄入与总体癌症之间存在统计学显著的关联(n = 75037 例;OR 0.95;95%CI 0.84-1.07;p = 0.376)。在国际肺癌联合会(OR 1.94;95%CI 1.41-2.68;p = 4.68 × 10-5)中,遗传预测的酒精摄入与肺癌呈统计学显著相关,但在英国生物库中则没有(OR 1.12;95%CI 0.65-1.93;p = 0.686)。酒精摄入与任何其他特定部位的癌症之间没有统计学显著的关联。本研究的主要局限性是在一些分析中精度较低,特别是在酒精摄入和特定部位癌症的分析中。

结论

我们的研究结果支持吸烟与肺癌之间的明确关系,并表明吸烟也可能是头颈部、食管、胃、宫颈和膀胱癌的危险因素。我们没有发现酒精摄入与总体或特定部位癌症风险之间存在关联的证据。

https://cdn.ncbi.nlm.nih.gov/pmc/blobs/d007/7377370/0e389d263c62/pmed.1003178.g001.jpg

文献AI研究员

20分钟写一篇综述,助力文献阅读效率提升50倍。

立即体验

用中文搜PubMed

大模型驱动的PubMed中文搜索引擎

马上搜索

文档翻译

学术文献翻译模型,支持多种主流文档格式。

立即体验