Suppr超能文献

欧盟即食食品的污染及对人类健康的风险。

contamination of ready-to-eat foods and the risk for human health in the EU.

作者信息

Ricci Antonia, Allende Ana, Bolton Declan, Chemaly Marianne, Davies Robert, Fernández Escámez Pablo Salvador, Girones Rosina, Herman Lieve, Koutsoumanis Konstantinos, Nørrung Birgit, Robertson Lucy, Ru Giuseppe, Sanaa Moez, Simmons Marion, Skandamis Panagiotis, Snary Emma, Speybroeck Niko, Ter Kuile Benno, Threlfall John, Wahlström Helene, Takkinen Johanna, Wagner Martin, Arcella Davide, Da Silva Felicio Maria Teresa, Georgiadis Marios, Messens Winy, Lindqvist Roland

出版信息

EFSA J. 2018 Jan 24;16(1):e05134. doi: 10.2903/j.efsa.2018.5134. eCollection 2018 Jan.

Abstract

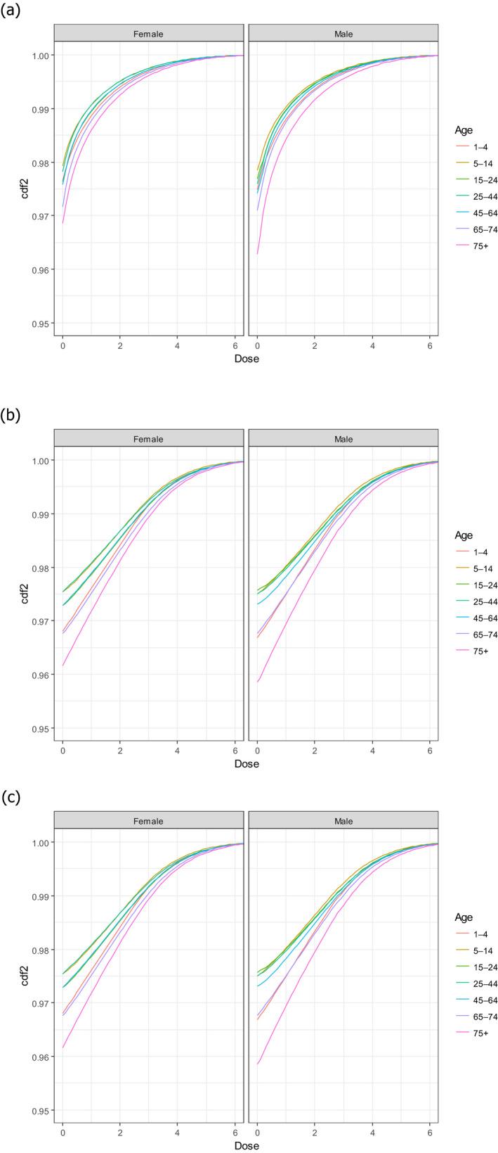
Food safety criteria for in ready-to-eat (RTE) foods have been applied from 2006 onwards (Commission Regulation (EC) 2073/2005). Still, human invasive listeriosis was reported to increase over the period 2009-2013 in the European Union and European Economic Area (EU/EEA). Time series analysis for the 2008-2015 period in the EU/EEA indicated an increasing trend of the monthly notified incidence rate of confirmed human invasive listeriosis of the over 75 age groups and female age group between 25 and 44 years old (probably related to pregnancies). A conceptual model was used to identify factors in the food chain as potential drivers for contamination of RTE foods and listeriosis. Factors were related to the host (i. population size of the elderly and/or susceptible people; ii. underlying condition rate), the food (iii. prevalence in RTE food at retail; iv. concentration in RTE food at retail; v. storage conditions after retail; vi. consumption), the national surveillance systems (vii. improved surveillance), and/or the bacterium (viii. virulence). Factors considered likely to be responsible for the increasing trend in cases are the increased population size of the elderly and susceptible population except for the 25-44 female age group. For the increased incidence rates and cases, the likely factor is the increased proportion of susceptible persons in the age groups over 45 years old for both genders. Quantitative modelling suggests that more than 90% of invasive listeriosis is caused by ingestion of RTE food containing > 2,000 colony forming units (CFU)/g, and that one-third of cases are due to growth in the consumer phase. Awareness should be increased among stakeholders, especially in relation to susceptible risk groups. Innovative methodologies including whole genome sequencing (WGS) for strain identification and monitoring of trends are recommended.

摘要

自2006年起开始实施即食(RTE)食品的食品安全标准(欧盟委员会法规(EC) 2073/2005)。尽管如此,据报告,2009 - 2013年期间,欧盟和欧洲经济区(EU/EEA)的人类侵袭性李斯特菌病有所增加。对EU/EEA 2008 - 2015年期间的时间序列分析表明,75岁以上年龄组以及25至44岁女性年龄组(可能与怀孕有关)确诊的人类侵袭性李斯特菌病每月通报发病率呈上升趋势。采用概念模型来确定食物链中的因素,作为RTE食品污染和李斯特菌病的潜在驱动因素。这些因素与宿主(i. 老年人和/或易感人群的人口规模;ii. 潜在疾病发生率)、食品(iii. 零售RTE食品中的患病率;iv. 零售RTE食品中的浓度;v. 零售后的储存条件;vi. 消费)、国家监测系统(vii. 监测改善)和/或细菌(viii. 毒力)有关。被认为可能导致病例增加趋势的因素是除25 - 44岁女性年龄组外,老年人和易感人群的人口规模增加。对于发病率和病例数的增加,可能的因素是45岁以上年龄组中易感人群的比例增加,无论男女。定量模型表明,超过90%的侵袭性李斯特菌病是由于摄入含有> 2000菌落形成单位(CFU)/克的RTE食品引起的,并且三分之一的病例是由于消费阶段的生长所致。应提高利益相关者的认识,特别是与易感风险群体相关的认识。建议采用包括全基因组测序(WGS)在内的创新方法进行菌株鉴定和趋势监测。

https://cdn.ncbi.nlm.nih.gov/pmc/blobs/81c5/7391409/8776bfe91afa/EFS2-16-e05134-g001.jpg

文献AI研究员

20分钟写一篇综述,助力文献阅读效率提升50倍。

立即体验

用中文搜PubMed

大模型驱动的PubMed中文搜索引擎

马上搜索

文档翻译

学术文献翻译模型,支持多种主流文档格式。

立即体验