Suppr超能文献

载脂蛋白 E 基因型与阿尔茨海默病的相关性与年龄的关系:基于脑脊液生物标志物的病例对照研究。

Age and the association between apolipoprotein E genotype and Alzheimer disease: A cerebrospinal fluid biomarker-based case-control study.

机构信息

Université de Paris, Inserm U1153, Epidemiology of Ageing and Neurodegenerative diseases, Paris, France.

Cognitive Neurology Center, Lariboisiere-Fernand Widal Hospital, AP-HP, Université de Paris, Paris, France.

出版信息

PLoS Med. 2020 Aug 20;17(8):e1003289. doi: 10.1371/journal.pmed.1003289. eCollection 2020 Aug.

Abstract

BACKGROUND

The ε4 allele of apolipoprotein E (APOE) gene and increasing age are two of the most important known risk factors for developing Alzheimer disease (AD). The diagnosis of AD based on clinical symptoms alone is known to have poor specificity; recently developed diagnostic criteria based on biomarkers that reflect underlying AD neuropathology allow better assessment of the strength of the associations of risk factors with AD. Accordingly, we examined the global and age-specific association between APOE genotype and AD by using the A/T/N classification, relying on the cerebrospinal fluid (CSF) levels of β-amyloid peptide (A, β-amyloid deposition), phosphorylated tau (T, pathologic tau), and total tau (N, neurodegeneration) to identify patients with AD.

METHODS AND FINDINGS

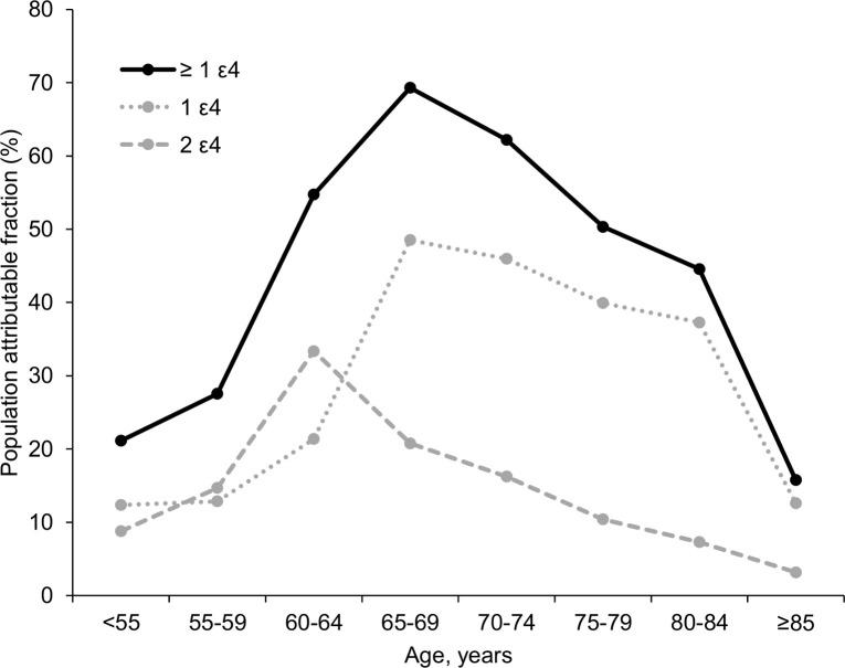
This case-control study included 1,593 white AD cases (55.4% women; mean age 72.8 [range = 44-96] years) with abnormal values of CSF biomarkers from nine European memory clinics and the American Alzheimer's Disease Neuroimaging Initiative (ADNI) study. A total of 11,723 dementia-free controls (47.1% women; mean age 65.6 [range = 44-94] years) were drawn from two longitudinal cohort studies (Whitehall II and Three-City), in which incident cases of dementia over the follow-up were excluded from the control population. Odds ratio (OR) and population attributable fraction (PAF) for AD associated with APOE genotypes were determined, overall and by 5-year age categories. In total, 63.4% of patients with AD and 22.6% of population controls carried at least one APOE ε4 allele. Compared with non-ε4 carriers, heterozygous ε4 carriers had a 4.6 (95% confidence interval 4.1-5.2; p < 0.001) and ε4/ε4 homozygotes a 25.4 (20.4-31.2; p < 0.001) higher OR of AD in unadjusted analysis. This association was modified by age (p for interaction < 0.001). The PAF associated with carrying at least one ε4 allele was greatest in the 65-70 age group (69.7%) and weaker before 55 years (14.2%) and after 85 years (22.6%). The protective effect of APOE ε2 allele for AD was unaffected by age. Main study limitations are that analyses were based on white individuals and AD cases were drawn from memory centers, which may not be representative of the general population of patients with AD.

CONCLUSIONS

In this study, we found that AD diagnosis based on biomarkers was associated with APOE ε4 carrier status, with a higher OR than previously reported from studies based on only clinical AD criteria. This association differs according to age, with the strongest effect at 65-70 years. These findings highlight the need for early interventions for dementia prevention to mitigate the effect of APOE ε4 at the population level.

摘要

背景

载脂蛋白 E(APOE)基因的 ε4 等位基因和年龄增长是已知的导致阿尔茨海默病(AD)的两个最重要的风险因素。仅基于临床症状诊断 AD 的特异性较差;最近基于反映潜在 AD 神经病理学的生物标志物开发的诊断标准允许更好地评估风险因素与 AD 之间的关联强度。因此,我们使用 A/T/N 分类,根据脑脊液(CSF)β-淀粉样肽(A,β-淀粉样沉积)、磷酸化 tau(T,病理性 tau)和总 tau(N,神经退行性变)水平,检查了 APOE 基因型与 AD 的全球和年龄特异性关联,以确定 AD 患者。

方法和发现

这项病例对照研究纳入了来自 9 个欧洲记忆诊所和美国阿尔茨海默病神经影像学倡议(ADNI)研究的 1593 名患有异常 CSF 生物标志物的白种人 AD 病例(55.4%为女性;平均年龄 72.8 [范围 44-96] 岁)。共有 11723 名无痴呆的对照者(47.1%为女性;平均年龄 65.6 [范围 44-94] 岁)来自两个纵向队列研究(Whitehall II 和三城市),其中在随访期间发生痴呆的病例已从对照人群中排除。确定了与 APOE 基因型相关的 AD 相关的比值比(OR)和人群归因分数(PAF),总体和按 5 岁年龄组。总的来说,63.4%的 AD 患者和 22.6%的人群对照者携带至少一个 APOE ε4 等位基因。与非 ε4 携带者相比,杂合子 ε4 携带者的 AD 风险比为 4.6(95%置信区间 4.1-5.2;p<0.001),ε4/ε4 纯合子的 AD 风险比为 25.4(20.4-31.2;p<0.001),未经调整的分析中差异有统计学意义。这种关联受年龄的影响(p<0.001)。携带至少一个 ε4 等位基因的 PAF 在 65-70 岁年龄组最高(69.7%),在 55 岁之前(14.2%)和 85 岁之后(22.6%)较弱。APOE ε2 等位基因对 AD 的保护作用不受年龄影响。主要研究局限性在于分析基于白种人,AD 病例来自记忆中心,可能不能代表一般人群的 AD 患者。

结论

在这项研究中,我们发现基于生物标志物的 AD 诊断与 APOE ε4 携带者状态相关,与仅基于临床 AD 标准的研究报告的 OR 更高。这种关联因年龄而异,在 65-70 岁时影响最大。这些发现强调了需要进行早期干预以预防痴呆,以减轻 APOE ε4 在人群中的影响。

https://cdn.ncbi.nlm.nih.gov/pmc/blobs/7b33/7446786/825057705625/pmed.1003289.g001.jpg

文献AI研究员

20分钟写一篇综述,助力文献阅读效率提升50倍。

立即体验

用中文搜PubMed

大模型驱动的PubMed中文搜索引擎

马上搜索

文档翻译

学术文献翻译模型,支持多种主流文档格式。

立即体验