Suppr超能文献

预处理强度、移植前流式细胞术检测的微小残留病与接受异基因造血细胞移植的成人急性髓系白血病患者的预后

Conditioning Intensity, Pre-Transplant Flow Cytometric Measurable Residual Disease, and Outcome in Adults with Acute Myeloid Leukemia Undergoing Allogeneic Hematopoietic Cell Transplantation.

作者信息

Morsink Linde M, Sandmaier Brenda M, Othus Megan, Palmieri Raffaele, Granot Noa, Bezerra Evandro D, Wood Brent L, Mielcarek Marco, Schoch Gary, Davis Chris, Flowers Mary E D, Deeg H Joachim, Appelbaum Frederick R, Storb Rainer, Walter Roland B

机构信息

Clinical Research Division, Fred Hutchinson Cancer Research Center, Seattle, WA 98109, USA.

Department of Hematology, University Medical Center Groningen, 9700 RB Groningen, The Netherlands.

出版信息

Cancers (Basel). 2020 Aug 19;12(9):2339. doi: 10.3390/cancers12092339.

Abstract

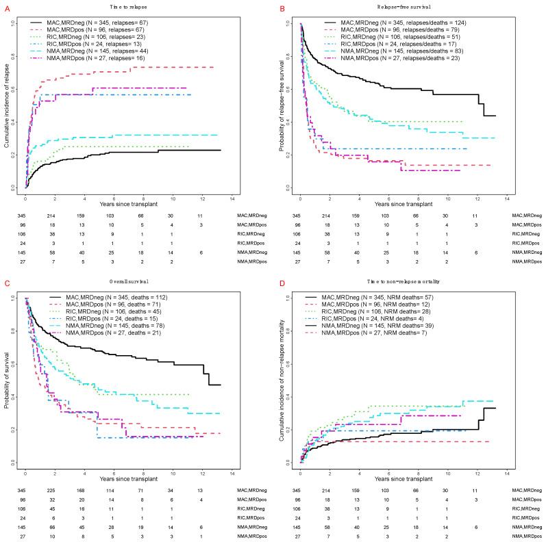
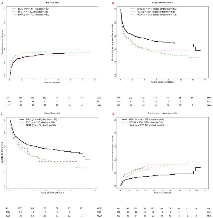
How conditioning intensity is related to outcomes of AML patients undergoing allografting in morphologic remission is an area of great ongoing interest. We studied 743 patients in morphologic remission and known pre-transplant measurable residual disease (MRD) status determined by multiparameter flow cytometry (MFC) who received a first allograft after myeloablative, reduced intensity, or nonmyeloablative conditioning (MAC, RIC, and NMA). Overall, relapse-free survival (RFS) and overall survival (OS) were longer after MAC than RIC or NMA conditioning, whereas relapse risks were not different. Among MRD patients, 3-year estimates of relapse risks and survival were similar across conditioning intensities. In contrast, among MRD patients, 3-year RFS and OS were longer for MAC (69% and 71%) than RIC (47% and 55%) and NMA conditioning (47% and 52%). Three-year relapse risks were lowest after MAC (18%) and highest after NMA conditioning (30%). Our data indicate an interaction between conditioning intensity, MFC-based pre-transplant MRD status, and outcome, with benefit of intensive conditioning primarily for patients transplanted in MRD remission. Differing from recent findings from other studies that indicated MAC is primarily beneficial for some or all patients with MRD pre-HCT status, our data suggest MAC should still be considered for MRD AML patients if tolerated.

摘要

在形态学缓解期接受同种异体移植的急性髓系白血病(AML)患者中,预处理强度与预后之间的关系是一个备受关注的研究领域。我们研究了743例处于形态学缓解期且已知移植前通过多参数流式细胞术(MFC)测定的可测量残留病(MRD)状态的患者,这些患者在接受清髓性、减低强度或非清髓性预处理(MAC、RIC和NMA)后进行了首次同种异体移植。总体而言,MAC预处理后的无复发生存期(RFS)和总生存期(OS)比RIC或NMA预处理更长,而复发风险没有差异。在MRD患者中,不同预处理强度下3年复发风险和生存率的估计值相似。相比之下,在MRD患者中,MAC预处理后的3年RFS和OS(分别为69%和71%)比RIC预处理(分别为47%和55%)和NMA预处理(分别为47%和52%)更长。MAC预处理后的3年复发风险最低(18%),NMA预处理后的复发风险最高(30%)。我们的数据表明预处理强度、基于MFC的移植前MRD状态和预后之间存在相互作用,强化预处理主要对处于MRD缓解期移植的患者有益。与其他研究最近的发现不同,其他研究表明MAC主要对一些或所有移植前有MRD状态的患者有益,我们的数据表明,如果患者能够耐受,MRD AML患者仍应考虑进行MAC预处理。

https://cdn.ncbi.nlm.nih.gov/pmc/blobs/69f5/7565021/5cbde112f06d/cancers-12-02339-g001.jpg

文献AI研究员

20分钟写一篇综述,助力文献阅读效率提升50倍。

立即体验

用中文搜PubMed

大模型驱动的PubMed中文搜索引擎

马上搜索

文档翻译

学术文献翻译模型,支持多种主流文档格式。

立即体验